【药物名称】A-176120
化学结构式(Chemical Structure):
参考文献No.44096
标题:Benzene, pyridine, naphthalene or benzophenone derivs. as inhibitors of squalene synthetase and protein farnesyltransferase
作者:Sullivan, G.M.; Rosenberg, S.H.; Prasad, R.N.; O'Connor, S.J.; Donner, B.G.; Fakhoury, S.A.; Fung, K.L.; Stout, D.M.; Rockway, T.W.; Baker, W.R.; Shen, W.; Garvey, D.S. (Abbott Laboratories Inc.)
来源:WO 9634851
合成路线图解说明:

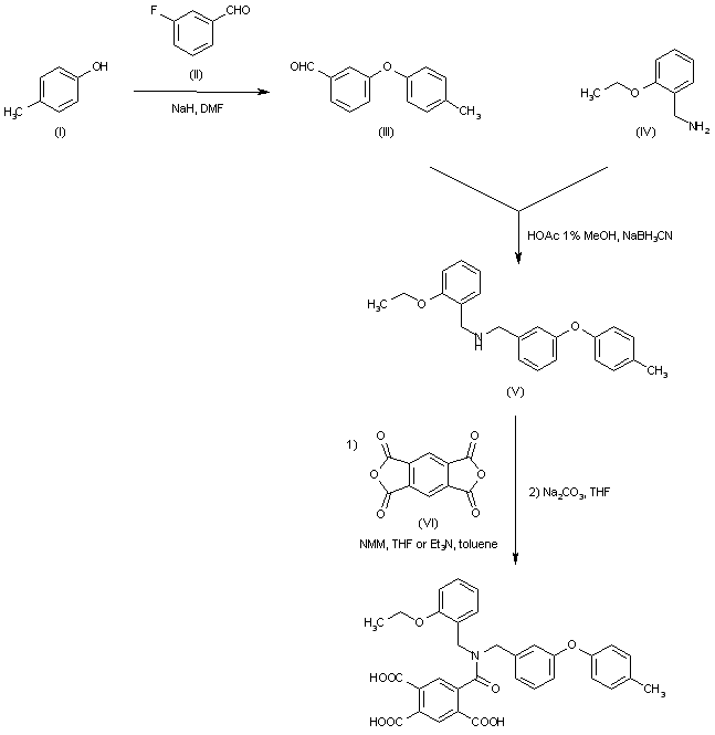
Reaction of 4-methylphenol (I) with NaH in DMF and 3-fluorobenzaldehyde (II) yields aldehyde (III), which will be converted into secondary amine (V) via a reductive amination with amine (IV) in presence of NaBH3CN in MeOH and catalytic HOAc. Amine (V) couples with dianhydride (VI) in THF in presence of NMM or alternatively in toluene and Et3N. Final treatment with Na2CO3 in THF yields the desired product.

Drug Information Express,Drug R&D,Chemical Database,Patent Search.
Copyright © 2006-2026 Drug Future. All rights reserved.Contact Us