【药物名称】3-Allyl farnesol, 3-alFOH
化学结构式(Chemical Structure):
参考文献No.707577
标题:Novel farnesol and geranylgeraniol analogues: A potential new class of anticancer agents directed against protein prenylation
作者:Gibbs, B.S.; Zahn, T.J.; Mu, Y.; Sebolt-Leopold, J.S.; Gibbs, R.A.
来源:J Med Chem 1999,42(19),3800
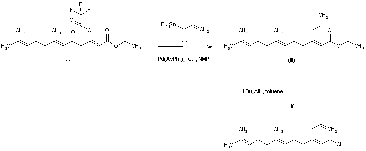
合成路线图解说明:

Palladium-catalyzed coupling between the known vinyl triflate (I) and allyl tributyltin (II) provides adduct (III). Then, reduction of the ester function of (III) by means of DIBAL in cold toluene leads to the target allylic alcohol.

Drug Information Express,Drug R&D,Chemical Database,Patent Search.
Copyright © 2006-2026 Drug Future. All rights reserved.Contact Us