【药物名称】
化学结构式(Chemical Structure):
参考文献No.576534
标题:Design and synthesis of anticonvulsive agents as gamma-Vinyl GABA-based potential dual acting prodrugs and their biological activities
作者:Kim, Y.; Zhao, L.X.; Kim, T.H.; Je, S.M.; Kim, E.K.; Choi, H.; Chae, W.G.; Park, M.; Choi, J.; Jahng, Y.; Lee, E.S.
来源:Bioorg Med Chem Lett 2000,10(7),609
合成路线图解说明:

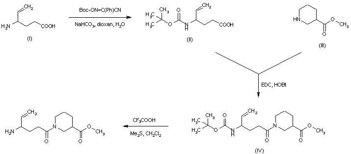
Boc-protected vigabatrin (II) was prepared from vigabatrin (I) by treatment with 2-(tert-butoxycarbonyloxyimino)-2-phenylacetonitrile. Coupling of the protected vigabatrin (II) with methyl nipecotate (III) in the presence of EDC and HOBt afforded the corresponding amide (IV). The Boc protecting group of (IV) was finally cleaved by treatment with trifluoroacetic acid.

Drug Information Express,Drug R&D,Chemical Database,Patent Search.
Copyright © 2006-2026 Drug Future. All rights reserved.Contact Us