【药物名称】BIO-1211
化学结构式(Chemical Structure):
参考文献No.32424
标题:Cell adhesion inhibitor
作者:Lin, K.-C.; Adams, S.P.; Castro, A.C.; Zimmerman, C.N.; Cuervo, J.H.; Lee, W.-C.; Hammond, C.E.; Carter, M.B.; Almquist, R.G.; Ensinger, C.L. (Biogen, Inc.)
来源:EP 0842196; JP 1999511124; WO 9703094
合成路线图解说明:

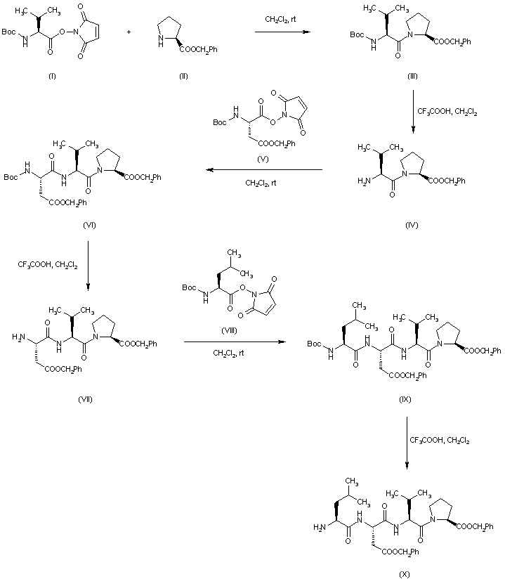
N-Boc-L-Valine N-hydroxysuccinimidyl ester (I) was coupled to L-proline benzyl ester (II), and the resulting Boc dipeptide (III) was subsequently deprotected with trifluoroacetic acid in CH2Cl2 to afford (IV). This was condensed with N-Boc-L-aspartic acid gamma-benzyl 1-N-hydroxysuccinimidyl diester (V) to give (VI). After Boc deprotection of (VI) with trifluoroacetic acid, tripeptide (VII) was coupled with N-Boc-L-leucine N-hydroxysuccinimidyl ester (VIII) to yield tetrapeptide (IX). Further Boc deprotection of (IX) with trifluoroacetic acid furnished peptide intermediate (X).

合成路线图解说明:

Condensation of o-tolyl isocyanate (XI) with 4-aminophenylacetic acid (XII) produced urea (XIII). This was coupled to tetrapeptide (X) using EDC and HOBt to give the corresponding amide (XIV). Finally, the benzyl ester groups of (XIV) were deprotected by hydrogenolysis over Pd/C.

参考文献No.530498
标题:Selective, tight-binding inhibitors of integrin alpha4beta1 that inhibit allergic airway responses
作者:Lin, K.; Ateeq, H.S.; Hsiung, S.H.; Chong, L.T.; Zimmerman, C.N.; Castro, A.; Lee, W.C.; Hammond, C.E.; Kalkunte, S.; Chen, L.L.; Pepinsky, R.B.; Leone, D.R.; Sprague, A.G.; Abraham, W.M.; Gill, A.; Lobb, R.R.; Adams, S.P.
来源:J Med Chem 1999,42(5),920
合成路线图解说明:

N-Boc-L-Valine N-hydroxysuccinimidyl ester (I) was coupled to L-proline benzyl ester (II), and the resulting Boc dipeptide (III) was subsequently deprotected with trifluoroacetic acid in CH2Cl2 to afford (IV). This was condensed with N-Boc-L-aspartic acid gamma-benzyl 1-N-hydroxysuccinimidyl diester (V) to give (VI). After Boc deprotection of (VI) with trifluoroacetic acid, tripeptide (VII) was coupled with N-Boc-L-leucine N-hydroxysuccinimidyl ester (VIII) to yield tetrapeptide (IX). Further Boc deprotection of (IX) with trifluoroacetic acid furnished peptide intermediate (X).

合成路线图解说明:

Condensation of o-tolyl isocyanate (XI) with 4-aminophenylacetic acid (XII) produced urea (XIII). This was coupled to tetrapeptide (X) using EDC and HOBt to give the corresponding amide (XIV). Finally, the benzyl ester groups of (XIV) were deprotected by hydrogenolysis over Pd/C.

Drug Information Express,Drug R&D,Chemical Database,Patent Search.
Copyright © 2006-2026 Drug Future. All rights reserved.Contact Us