【药物名称】
化学结构式(Chemical Structure):
参考文献No.545380
标题:New beta-lactamase inhibitors of the class A and class C enzymes
作者:Buynak, J.D.; et al.
来源:217th ACS Natl Meet (March 21 1999, Anaheim) 1999,Abst MEDI 194
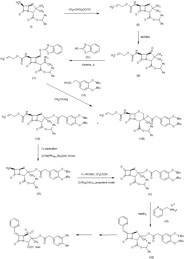
合成路线图解说明:

6-Aminopenicillanic acid benzhydryl ester (I) was protected as the carbamate (II) using allyl chloroformate. Subsequent oxidation of (II) with m-chloroperbenzoic acid provided sulfoxide (III). Opening of the thiazolidine ring of (III) by means of 2-mercaptobenzothiazole (IV) produced disulfide (V), which was further cyclized in the presence of arylacetic acid (VI) and silver acetate to furnish a 4:1 mixture of penicillanic ester (VII) and the cephalosporanic analogue (VIII). Deprotection of the required isomer (VII) employing Pd(PPh3)4 and Bu3SnH afforded amine (IX). Diazotization of (IX) with isopropyl nitrite, followed by treatment with propylene oxide and Rh2(OAc)4 gave rise to oxolactam (X). Wittig reaction of (X) with the ylide resulting from phosphonium salt (XI) and NaNH2 provided the (pyridylmethylene) derivative (XII). Finally, oxidation to the corresponding sulfone and cleavage of the protecting groups provided the title compound.

Drug Information Express,Drug R&D,Chemical Database,Patent Search.
Copyright © 2006-2026 Drug Future. All rights reserved.Contact Us