【药物名称】[18F]-FEtNTI
化学结构式(Chemical Structure):
参考文献No.522724
标题:Synthesis of N1?([F-18]fluoroethyl)naltrindole ([F-18]FEtNTI): A radioligand for positron emission tomographic studies of delta opioid receptors
作者:Mathews, W.B.; et al.
来源:J Label Compd Radiopharm 1999,42(1),43
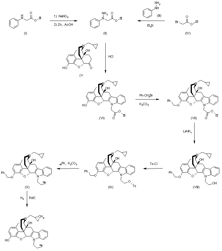
合成路线图解说明:

Synthesis of [18F]FEtNTI: The intermediate 2-(N1-phenylhydrazino)acetic acid ethyl ester (II) has been obtained by two different ways: 1.- By nitrosation of N-phenylglycine ethyl ester (I) with NaNO2 followed by readuction with Zn/acetic acid (low yields). 2.- By condensation of phenylhydrazine (III) with ethyl bromoacetate (IV) by means of an excess of triethylamine. The cyclization of intermediate (II) with naltrexone (V) by mans of HCl in methanol gives the indolomorphinanylacetic ester (VI), which is benzyl protected at the OH group by means of benzyl bromide and K2CO3 in DMF yielding the benzyl ether (VII). The reduction of the ester group of (VII) with LiAlH4 in THF/toluene afords the indolomorphinanylethanol (VIII), which is treated with tosyl chloride and potassium trimethylsilanolate in toluene to provide the corresponding tosylate (IX). The reaction of (IX) with potassium [18F]fluoride, K2CO3 and Kryptpfix [2.2.2] in hot DMF gives the 18F labeled intermediate (X), which is finally debenzylated by hydrogenation with H2 over Pd/C in DMF/triethylamine.

Drug Information Express,Drug R&D,Chemical Database,Patent Search.
Copyright © 2006-2026 Drug Future. All rights reserved.Contact Us