【药物名称】DDE-240, F-PBT, HI-240
化学结构式(Chemical Structure):
参考文献No.45114
标题:NNI for treatment of multi-drug resistant HIV
作者:Uckun, F.M. (Parker Hughes Institute)
来源:WO 0056736
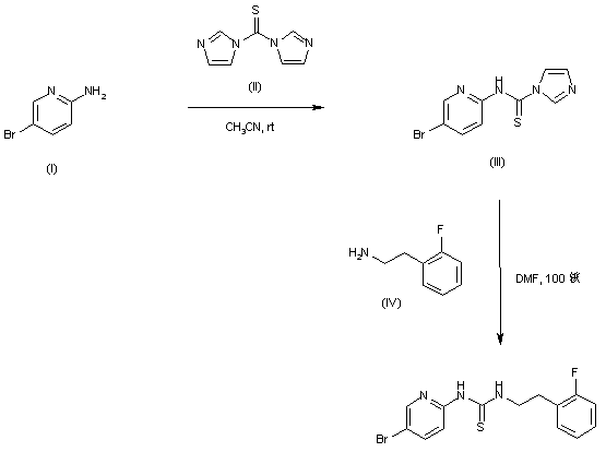
合成路线图解说明:

2-Amino-5-bromopyridine (I) was condensed with 1,1-thiocarbonyldiimidazole (II) in acetonitrile to furnish the precursor thiocarbonyl derivative (III). Further reaction of (III) with 2-fluorophenethylamine (IV) in DMF at 100 C gave the target thiourea.

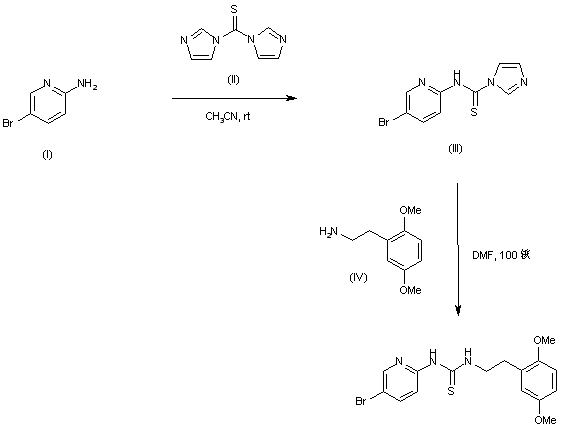
合成路线图解说明:

The reaction of 5-bromopyridin-2-amine (I) with thiocarbonyldiimidazole (II) in acetonitrile gives the thioamide (III), which is finally condensed with 2-(2,5-dimethoxyphenyl)ethylamine (IV) in DMF at 100 C.

参考文献No.476348
标题:Rational design and synthesis of phenethyl-5-bromopyridyl thiourea derivatives as potent non-nucleoside inhibitors of HIV reverse transcriptase
作者:Vig, R.; Mao, C.; Venkatachalam, T.K.; Tuel-Ahlgren, L.; Sudbeck, E.A.; Uckun, F.M.
来源:Bioorg Med Chem 1998,6(10),1789
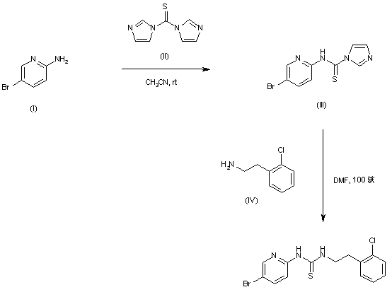
合成路线图解说明:

2-Amino-5-bromopyridine (I) was condensed with 1,1-thiocarbonyldiimidazole (II) in acetonitrile to furnish the precursor thiocarbonyl derivative (III). Further reaction of (III) with 2-chlorophenethylamine (IV) in DMF at 100 C gave the target thiourea.

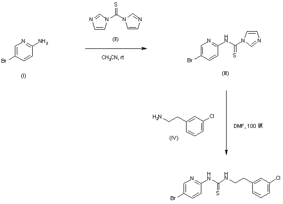
合成路线图解说明:

2-Amino-5-bromopyridine (I) was condensed with 1,1-thiocarbonyldiimidazole (II) in acetonitrile to furnish the precursor thiocarbonyl derivative (III). Further reaction of (III) with 3-chlorophenethylamine (IV) in DMF at 100 C gave the target thiourea.

合成路线图解说明:

2-Amino-5-bromopyridine (I) was condensed with 1,1-thiocarbonyldiimidazole (II) in acetonitrile to furnish the precursor thiocarbonyl derivative (III). Further reaction of (III) with 2-fluorophenethylamine (IV) in DMF at 100 C gave the target thiourea.

合成路线图解说明:

The reaction of 5-bromopyridin-2-amine (I) with thiocarbonyldiimidazole (II) in acetonitrile gives the thioamide (III), which is finally condensed with 2-(2,5-dimethoxyphenyl)ethylamine (IV) in DMF at 100 C.

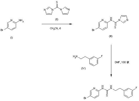
合成路线图解说明:

2-Amino-5-bromopyridine (I) was condensed with 1,1-thiocarbonyldiimidazole (II) in acetonitrile to furnish the precursor thiocarbonyl derivative (III). Further reaction of (III) with 3-fluorophenethylamine (IV) in DMF at 100 C gave the target thiourea.

Drug Information Express,Drug R&D,Chemical Database,Patent Search.
Copyright © 2006-2026 Drug Future. All rights reserved.Contact Us