【药物名称】HI-281
化学结构式(Chemical Structure):
参考文献No.480840
标题:Structure-based design of novel dihydroalkoxybenzyloxopyrimidine derivatives as potent nonnucleoside inhibitors of the human immunodeficiency virus reverse transcriptase
作者:Sudbeck, E.A.; Mao, C.; Vig, R.; Venkatachalam, T.K.; Tuel-Ahlgren, L.; Uckun, F.M.
来源:Antimicrob Agents Chemother 1998,42(12),3225
合成路线图解说明:

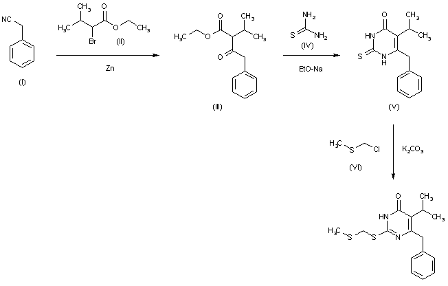
The reaction of 2-phenylacetonitrile (I) with 2-bromo-3-methylbutyric acid ethyl ester (II) by means of Zn in THF gives the ketoester (III), which is cyclized with thiourea (IV) by means of sodium ethoxide in ethanol yielding 6-benzyl-5-isopropyl-2-thioxo-1,2,3,4-tetrahydropyrimidin-4-one (V). Finally, this compound is treated with chloromethyl methyl sulfide (VI) and K2CO3 in DMF.

合成路线图解说明:

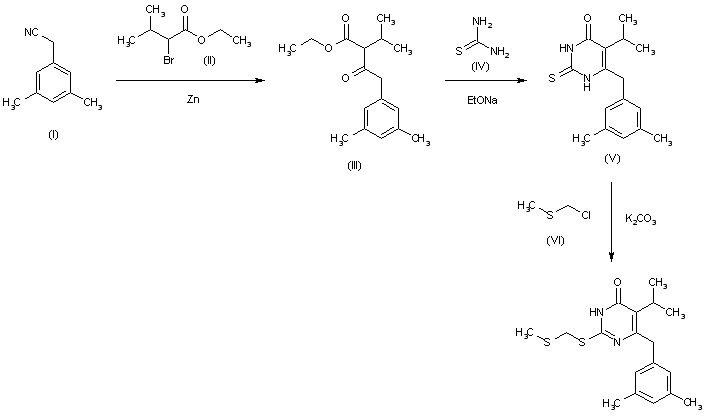
The condensation of 2-(3,5-dimethylphenyl)acetonitrile (I) with ethyl 2-bromo-3-methylbutyrate (II) by means of Zn in THF gives the beta-ketoester (III), which is cyclized with thiourea (IV) by means of sodium ethoxide in ethanol yielding the thioxopyrimidinone (V). Finally, this compound is condensed with choromethyl methyl sulfide by means of K2CO3 in DMF.

参考文献No.524246
标题:5-Alkyl-2-[(methylthiomethyl)thio]-6-(benzyl)-pyrimidin-4-(1H)-ones as potent non-nucleoside reverse transcriptase inhibitors of S-DABO series
作者:Vig, R.; Mao, C.; Venkatachalam, T.K.; Tuel-Ahlgren, L.; Sudbeck, E.A.; Uckun, F.M.
来源:Bioorg Med Chem Lett 1998,8(12),1461
合成路线图解说明:

The reaction of 2-phenylacetonitrile (I) with 2-bromo-3-methylbutyric acid ethyl ester (II) by means of Zn in THF gives the ketoester (III), which is cyclized with thiourea (IV) by means of sodium ethoxide in ethanol yielding 6-benzyl-5-isopropyl-2-thioxo-1,2,3,4-tetrahydropyrimidin-4-one (V). Finally, this compound is treated with chloromethyl methyl sulfide (VI) and K2CO3 in DMF.

合成路线图解说明:

The condensation of 2-(3,5-dimethylphenyl)acetonitrile (I) with ethyl 2-bromo-3-methylbutyrate (II) by means of Zn in THF gives the beta-ketoester (III), which is cyclized with thiourea (IV) by means of sodium ethoxide in ethanol yielding the thioxopyrimidinone (V). Finally, this compound is condensed with choromethyl methyl sulfide by means of K2CO3 in DMF.

Drug Information Express,Drug R&D,Chemical Database,Patent Search.
Copyright © 2006-2026 Drug Future. All rights reserved.Contact Us