【药物名称】
化学结构式(Chemical Structure):
参考文献No.533691
标题:Synthesis and biological evaluation of substituted 4-(OBz)phenylalanine derivatives as novel N-type calcium channel blockers
作者:Hu, L.Y.; Ryder, T.R.; Nikam, S.S.; Millerman, E.; Szoke, B.G.; Rafferty, M.F.
来源:Bioorg Med Chem Lett 1999,9(8),1121
合成路线图解说明:

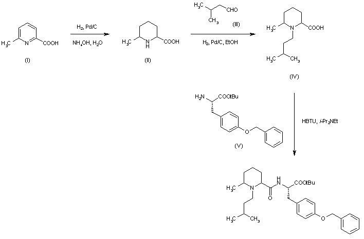
Hydrogenation of 6-methylpyridine-2-carboxylic acid (I) over Pd/C in aqueous ammonia afforded the corresponding piperidine (II). Subsequent condensation of (II) with isovaleraldehyde (III), followed by catalytic hydrogenation with Pd/C provided the N-isopentyl piperidine (IV), which was finally coupled with O-benzyltyrosine tert-butyl ester (V) in the presence of benzotriazolyl tetramethyluronium hexafluorophosphate (HBTU) to furnish the target amide.

参考文献No.537145
标题:PD 151307 analogs: Synthesis and biological evaluation of substituted 4-(OBz)phenylalanine derivatives as novel N-type calcium channel blockers
作者:Hu, L.-Y.; et al.
来源:217th ACS Natl Meet (March 21 1999, Anaheim) 1999,Abst MEDI 119
合成路线图解说明:

Hydrogenation of 6-methylpyridine-2-carboxylic acid (I) over Pd/C in aqueous ammonia afforded the corresponding piperidine (II). Subsequent condensation of (II) with isovaleraldehyde (III), followed by catalytic hydrogenation with Pd/C provided the N-isopentyl piperidine (IV), which was finally coupled with O-benzyltyrosine tert-butyl ester (V) in the presence of benzotriazolyl tetramethyluronium hexafluorophosphate (HBTU) to furnish the target amide.

Drug Information Express,Drug R&D,Chemical Database,Patent Search.
Copyright © 2006-2026 Drug Future. All rights reserved.Contact Us