【药物名称】
化学结构式(Chemical Structure):
参考文献No.534130
标题:Inhibition of human cytomegalovirus protease N(o) with monocyclic beta-lactams
作者:D閦iel, R.; Malenfant, E.
来源:Bioorg Med Chem Lett 1998,8(11),1437
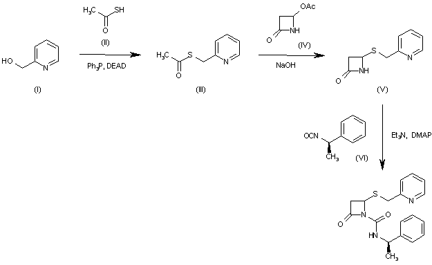
合成路线图解说明:

The acylation of 2-pyridylmethanol (I) with thioacetic acid (II) by means of Ph3P and DEAD in THF gives the corresponding thioacetate (III), which is condensed with 4-acetoxyazetidin-2-one (IV) by means of NaOH in methanol yielding 4-(2-pyridylmethylsulfanyl)azetidin-2-one (V). Finally, this compound is condensed with 1(R)-phenylethyl isocyanate (VI) by means of Et3N and DMAP in dichloromethane.

Drug Information Express,Drug R&D,Chemical Database,Patent Search.
Copyright © 2006-2026 Drug Future. All rights reserved.Contact Us