【药物名称】
化学结构式(Chemical Structure):
参考文献No.26210
标题:Use of glucokinase inhibitors for the manufacture of a medicament for treating tumours
作者:Board, M.; Newsholme, E.A. (Isis Pharmaceuticals, Inc.)
来源:WO 9503809
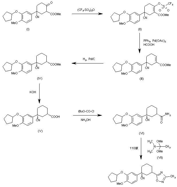
合成路线图解说明:

The reaction of 5-cyano-5-(3-cyclopentyloxy-4-methoxyphenyl)-2-oxocyclohexanecarboxylic acid methyl ester (I) with trifluoromethanesulfonic anhydride gives the enol triflate (II), which is desulfonated with triphenylphosphine, palladium acetate and formic acid yielding 5-cyano-5-(3-cyclopentyloxy-4-methoxyphenyl)-1-clohexene-1-carboxylic acid methyl ester (III). The hydrogenation of the double bond of (III) with H2 over Pd/C in methanol affords the cis carboxylic ester (IV), which is hydrolyzed with KOH in in methanol to provide the free carboxylic acid (V). The reaction of (V) with isobutyl chloroformate and then with NH4OH gives the corresponding amide (VI), which is finally cyclized with N,N-dimethylacetamide dimethylacetal (VII) by heating at 110 C to obtain target compound as a racemate.

Drug Information Express,Drug R&D,Chemical Database,Patent Search.
Copyright © 2006-2026 Drug Future. All rights reserved.Contact Us