【药物名称】CP-199331
化学结构式(Chemical Structure):
参考文献No.552510
标题:Discovery of CP-199,330 and CP-199,331: Two potent and orally efficacious cysteinyl LT1 receptor antagonists devoid of liver toxicity
作者:Chambers, R.J.; Marfat, A.; Antognoli, G.W.; Cheng, J.B.; Damon, D.B.; Kuperman, A.V.; Liston, T.C.; Mebus, C.; Pillar, J.S.; Shirley, J.T.; Watson, J.W.
来源:Bioorg Med Chem Lett 1999,9(18),2773
合成路线图解说明:

The demethylation of 6-methoxy-3,4-dihydro-2H-1-benzopyran-4-one (I) with 48% HBr in refluxing acetic acid gives the corresponding hydroxy compound (II), which is protected with benzyl bromide and K2CO3 in acetone yielding the benzyl ether (III). The condensation of (III) with 3-formyl-4-methoxybenzoic acid methyl ester (IV) by means of pyrrolidine in methanol affords the benzylidene derivative (V), which is reduced to the corresponding benzyl analogue (VI) with H2 over Pd/C in ethyl acetate. The reduction of the ketone group of (VI) with NaBH4 in MeOH/THF in the presence of CeCl3 gives the expected cis alcohol as a racemic mixture, which is submitted to optical resolution by esterification with Boc-D-tryptophan, chromatographic separation of the diastereomeric mixture, and basic hydrolysis of the ester groups yielding the (3S,4R)-alcohol (VII). The Curtius rearrangement of (VII) by reaction with diphenylphosphoryl azide (DPPA), benzyl alcohol and triethylamine affords carbamate (VIII), which is treated with H2 over Pd(OH)2 in dioxane to give the amine (IX). The condensation of (IX) with 7-chloro-2-(chloromethyl)quinoline (X) by means of NaH in DMF yields the corresponding ether (XI), which is finally treated with trifluoromethanesulfonic anhydride and triethylamine in dichloromethane to afford the target sulfonamide.

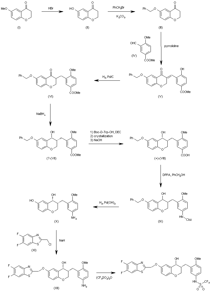
合成路线图解说明:

The reaction of 6-methoxy-3,4-dihydro-2H-1-benzopyran-4-one (I) with 48% HBr in refluxing acetic acid gives the corresponding hydroxy derivative (II), which is treated with benzyl bromide and K2CO3 in acetone to yield the benzyl ether (III). The condensation of (III) with 3-formyl-4-methoxybenzoic acid methyl ester (IV) by means of pyrrolidine in methanol affords the benzylidene derivative (V), which is reduced with H2 over Pd/C in ethyl acetate to afford the corresponding benzyl compound (VI). The reduction of the carbonyl group of (VI) with NaBH4 and CeCl3 in methanol/THF gives the racemic cis alcohol (?-(VII), which is submitted to optical resolution by reaction with Boc-D-Trp-OH and DEC, crystallization, and hydrolysis of the resulting diastereomer with NaOH in refluxing methanol affording (3R,4R)-3-(6-benzyloxy-4-hydroxy-3,4-dihydro-2H-1-benzopyran-3-yl)-4-methoxybenzoic acid (+)-(VIII). The degradation of the carboxy group of (+)-(VIII) with diphenylphosphoryl azide (DPPA) and benzyl alcohol in dioxane affords the benzyloxycarbonylamino derivative (IX), which is deprotected with H2 over Pd(OH)2 providing (3R,4R)-3-(5-amino-2-methoxybenzyl)-3,4-dihydro-2H-1-benzopyran-4,6-diol (X). The reaction of (X) with 2-(chloromethyl)-5,6-difluorobenzothiazole (XI) by means of NaH in DMF gives the expected condensation product (XII), which is finally treated with trifluoromethanesulfonic anhydride and triethylamine.

Drug Information Express,Drug R&D,Chemical Database,Patent Search.
Copyright © 2006-2026 Drug Future. All rights reserved.Contact Us