【药物名称】PD-173212
化学结构式(Chemical Structure):
参考文献No.37884
标题:Substd. peptidylamine calcium channel blockers
作者:Szoke, B.G.; Rafferty, M.F.; Silva, D.F.; Song, Y.; Malone, T.C.; Hu, L.-Y.; Urge, L.; Nadasdi, L.; Ryder, T.R. (Neurex Corp.; Pfizer Inc.)
来源:WO 9854123
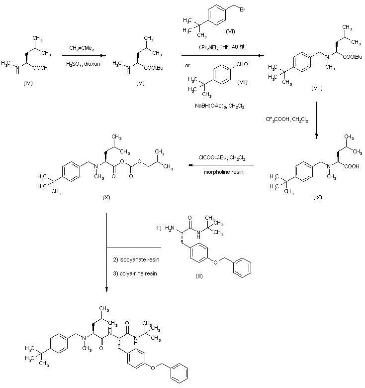
合成路线图解说明:

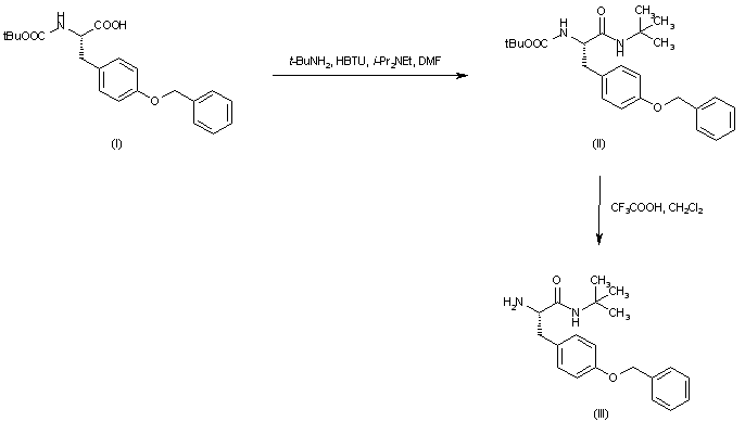
Coupling of N-Boc-O-benzyl-L-tyrosine (I) with tert-butylamine by means of O-benzotriazol-1-yl-N,N,N',N'-tetramethyluronium hexafluorophosphate (HBTU) afforded amide (II). Subsequent acid cleavage of the Boc group of (II) gave O-benzyltyrosine tert-butyl amide (III).

合成路线图解说明:

N-Methyl-L-leucine (IV) was converted to tert-butyl ester (V) by treatment with isobutylene and H2SO4. Formation of the N,N-dialkyl derivative (VIII) was achieved by either alkylation of (V) with p-tert-butylbenzyl bromide (VI) or by reductive condensation of (V) with p-tert-butylbenzaldehyde (VII) and NaBH(OAc)3. Deprotection of the tert-butyl ester of (VIII) with trifluoroacetic acid gave amino acid (IX), which was activated as the mixed anhydride (X) upon treatment with isobutyl chloroformate and a polymer-supported morpholine base. Coupling of (X) with tyrosine amide (III) then afforded the title dipeptide amide. Unreacted starting materials were captured by the addition of polymer-supported polyamine and isocyanate resins.

合成路线图解说明:

The precursor amino acid derivatives were obtained as follows: The condensation of N-Boc-O-benzyltyrosine (I) with tert-butylamine using O-benzotriazol-1-yl-N,N,N',N'-tetramethyluronium hexafluorophosphate (HBTU) gave amide (II). Subsequent deprotection of the Boc group of (II) by means of trifluoroacetic acid provided O-benzyltyrosine tert-butyl amide (III). N-Methyl leucine benzyl ester (IV) was alkylated with 3-bromocyclohexene (V), yielding the cyclohexenyl amine (VI). Hydrogenation of the olefinic double bond of (VI) with concomitant benzyl ester hydrogenolysis in the presence of Pd/C furnished N-cyclohexyl-N-methylleucine (VII). The title dipeptide was finally obtained by HBTU-promoted coupling of amino acids (III) and (VII).

合成路线图解说明:

Alternatively, the compound was prepared using polymer-supported resins. Dialkyl leucine (VII) was first treated with isobutyl chloroformate and morpholine resin, tyrosine derivative (III) was added, and was then treated with isocyanate resin and tris(2-aminomethyl)amine resin. Filtration of the insoluble resins provided a solution of pure dipeptide derivative.

参考文献No.542743
标题:Multiple parallel synthesis of N,N-dialkyldipeptidylamines as N-type calcium channel blockers
作者:Ryder, T.R.; Hu, L.Y.; Rafferty, M.F.; Millerman, E.; Szoke, B.G.; Tarczy-Hornoch, K.
来源:Bioorg Med Chem Lett 1999,9(13),1813
合成路线图解说明:

Coupling of N-Boc-O-benzyl-L-tyrosine (I) with tert-butylamine by means of O-benzotriazol-1-yl-N,N,N',N'-tetramethyluronium hexafluorophosphate (HBTU) afforded amide (II). Subsequent acid cleavage of the Boc group of (II) gave O-benzyltyrosine tert-butyl amide (III).

合成路线图解说明:

N-Methyl-L-leucine (IV) was converted to tert-butyl ester (V) by treatment with isobutylene and H2SO4. Formation of the N,N-dialkyl derivative (VIII) was achieved by either alkylation of (V) with p-tert-butylbenzyl bromide (VI) or by reductive condensation of (V) with p-tert-butylbenzaldehyde (VII) and NaBH(OAc)3. Deprotection of the tert-butyl ester of (VIII) with trifluoroacetic acid gave amino acid (IX), which was activated as the mixed anhydride (X) upon treatment with isobutyl chloroformate and a polymer-supported morpholine base. Coupling of (X) with tyrosine amide (III) then afforded the title dipeptide amide. Unreacted starting materials were captured by the addition of polymer-supported polyamine and isocyanate resins.

参考文献No.546560
标题:Structure-activity relationship of N-methyl-N-aralkyl-peptidylamines as novel N-type calcium channel blockers
作者:Hu, L.Y.; Ryder, T.R.; Rafferty, M.F.; Dooley, D.J.; Geer, J.J.; Lotarski, S.M.; Miljanich, G.P.; Millerman, E.; Rock, D.M.; Stoehr, S.J.; Szoke, B.G.; Taylor, C.P.; Vartanian, M.G.
来源:Bioorg Med Chem Lett 1999,9(15),2151
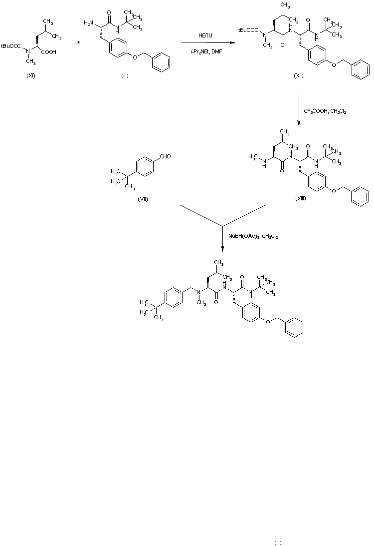
合成路线图解说明:

In a related procedure, N-Boc-N-methylleucine (XI) was coupled with O-benzyltyrosine amide (III) in the presence of HBTU to give the protected dipeptide (XII). Trifluoroacetic acid-promoted cleavage of the Boc group of (XII) provided amine (XIII). Finally, reductive alkylation of (XIII) with 4-tert-butylbenzaldehyde (VII) gave rise to the title compound.

Drug Information Express,Drug R&D,Chemical Database,Patent Search.
Copyright © 2006-2026 Drug Future. All rights reserved.Contact Us