【药物名称】L-780945, SNAP-6991-(+), (+)-SNAP-6991
化学结构式(Chemical Structure):
参考文献No.33401
标题:Dihydropyrimidines and uses thereof
作者:Nagarathnam, D.; Wong, W.C.; Miao, S.W.; Patane, M.A.; Gluchowski, C. (Merck & Co., Inc.; Synaptic Pharmaceutical Corp.)
来源:EP 0866708; JP 2000500470; WO 9717969
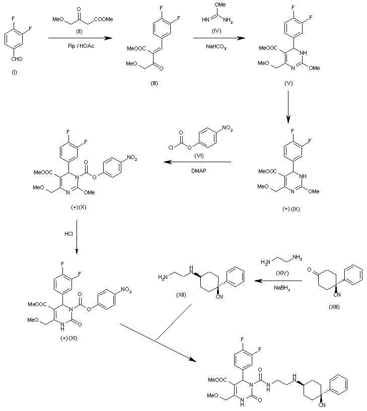
合成路线图解说明:

The reaction of 3,4-difluorobenzaldehyde (I) with methyl 4-methoxyacetoacetate (II) by means of piperidinium acetate in benzene gives the 3-benzylidene derivative (III), which is cyclized with O-methylisourea (IV) yielding dihydropyrimidine (V). The optical resolution of dihydropyrimidine (V) can also be performed as follows: Dihydropyrimidine (V) is condensed with 4-nitrophenyl chloroformate (VI) by means of DMAP giving the 4-nitrophenyl ester (VII), which is treated with (R)-(+)-alpha-methylbenzylamine [(R)-MBA] yielding amide (VIII) as mixture of diastereomers that is separated by column chromatography. The (+) isomer was then treated with DBU in hot toluene to provide the dihydropyrimidine (+)(IX), already reported. The intermediate 2-(trans-4-cyano-4-phenylcyclohexyl)ethylamine (XII) has been obtained by reductocondensation of 4-cyano-4-phenylcyclohexanone (XIII) with ethylenediamine (XIV) by means of p-toluenesulfonic acid and NaBH4 and separation of the isomers by careful chromatography.

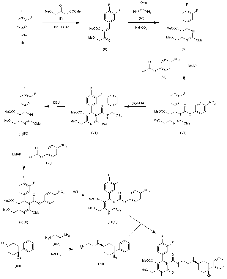
合成路线图解说明:

The reaction of 3,4-difluorobenzaldehyde (I) with methyl 4-methoxyacetoacetate (II) by means of piperidinium acetate in benzene gives the 3-benzylidene derivative (III), which is cyclized with O-methylisourea (IV) yielding dihydropyrimidine (V). The optical resolution of (V) by chiral chromatography affords the (+)(IX) isomer, which is condensed with 4-nitrophenyl chloroformate (VI) by means of DMAP in dichloromethane giving the active 4-nitrophenyl ester (+)(X). The hydrolysis of the enol methyl ether of (X) with HCl in ether/dichloromethane yields the pyrimidinone (+)(XI), which is finally condensed with 2-(trans-4-cyano-4-phenylcyclohexyl)ethylamine (XII) in dichloromethane. The intermediate 2-(trans-4-cyano-4-phenylcyclohexyl)ethylamine (XII) has been obtained by reductocondensation of 4-cyano-4-phenylcyclohexanone (XIII) with ethylenediamine (XIV) by means of p-toluenesulfonic acid and NaBH4 and separation of the isomers by careful chromatography.

参考文献No.530538
标题:Design, synthesis and evaluation of dihydropyrimidinones as alpha-1A selective antagonists: 7. Modification of the piperidine moiety into 4-aminocyclohexane; identification and structure-activity relationship of SNAP 6991 analogs
作者:Nagarathnam, D.; et al.
来源:217th ACS Natl Meet (March 21 1999, Anaheim) 1999,Abst MEDI 110
合成路线图解说明:

The reaction of 3,4-difluorobenzaldehyde (I) with methyl 4-methoxyacetoacetate (II) by means of piperidinium acetate in benzene gives the 3-benzylidene derivative (III), which is cyclized with O-methylisourea (IV) yielding dihydropyrimidine (V). The optical resolution of dihydropyrimidine (V) can also be performed as follows: Dihydropyrimidine (V) is condensed with 4-nitrophenyl chloroformate (VI) by means of DMAP giving the 4-nitrophenyl ester (VII), which is treated with (R)-(+)-alpha-methylbenzylamine [(R)-MBA] yielding amide (VIII) as mixture of diastereomers that is separated by column chromatography. The (+) isomer was then treated with DBU in hot toluene to provide the dihydropyrimidine (+)(IX), already reported. The intermediate 2-(trans-4-cyano-4-phenylcyclohexyl)ethylamine (XII) has been obtained by reductocondensation of 4-cyano-4-phenylcyclohexanone (XIII) with ethylenediamine (XIV) by means of p-toluenesulfonic acid and NaBH4 and separation of the isomers by careful chromatography.

合成路线图解说明:

The reaction of 3,4-difluorobenzaldehyde (I) with methyl 4-methoxyacetoacetate (II) by means of piperidinium acetate in benzene gives the 3-benzylidene derivative (III), which is cyclized with O-methylisourea (IV) yielding dihydropyrimidine (V). The optical resolution of (V) by chiral chromatography affords the (+)(IX) isomer, which is condensed with 4-nitrophenyl chloroformate (VI) by means of DMAP in dichloromethane giving the active 4-nitrophenyl ester (+)(X). The hydrolysis of the enol methyl ether of (X) with HCl in ether/dichloromethane yields the pyrimidinone (+)(XI), which is finally condensed with 2-(trans-4-cyano-4-phenylcyclohexyl)ethylamine (XII) in dichloromethane. The intermediate 2-(trans-4-cyano-4-phenylcyclohexyl)ethylamine (XII) has been obtained by reductocondensation of 4-cyano-4-phenylcyclohexanone (XIII) with ethylenediamine (XIV) by means of p-toluenesulfonic acid and NaBH4 and separation of the isomers by careful chromatography.

Drug Information Express,Drug R&D,Chemical Database,Patent Search.
Copyright © 2006-2026 Drug Future. All rights reserved.Contact Us