【药物名称】KF-27376
化学结构式(Chemical Structure):
参考文献No.33357
标题:Pyrrolocarbazole derivs.
作者:Ikuina, Y.; Murakata, C.; Saitoh, Y.; Shiotsu, Y.; Iida, T.; Tamaoki, T.; Yamashita, K.; Akinaga, S. (Kyowa Hakko Kogyo Co., Ltd.)
来源:EP 0768311; US 5728709; WO 9628447
合成路线图解说明:

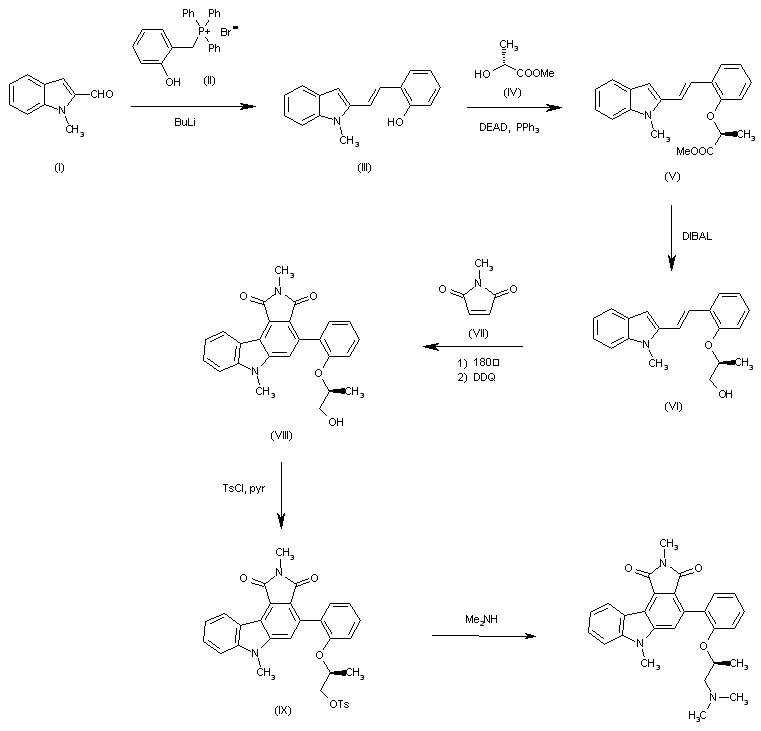
The condensation of 1-methylindole-2-carbaldehyde (I) with 2-hydroxybenzyl triphenylphosphonium bromide (II) by means of BuLi in THF gives the vinyl derivative (III), which is condensed with (R)(+)-methyl lactate (IV) by means of DEAD and PPh3 in THF yielding the chiral ether derivative (V). The reduction of the carboxylate group of (V) with DIBAL in THF affords the expected chiral propanol derivative (VI), which is cyclized with N-methylmaleimide (VII) by heating at 180 C and aromatized with DDQ giving the pyrrolocarbazole (VIII). The reaction of the hydroxy group of (VIII) with tosyl chloride and pyridine yields the corresponding tosylate (IX), which is finally condensed with dimethylamine in hot DMF.

合成路线图解说明:

The condensation of 1-methylindole-2-carbaldehyde (I) with 2-hydroxybenzyl triphenylphosphonium bromide (II) by means of BuLi in THF gives the vinyl derivative (III), which is condensed with (rac)-methyl lactate (IV) by means of DEAD and PPh3 in THF yielding the ether derivative (V). The reduction of the carboxylate group of (V) with DIBAL in THF affords the expected propanol derivative (VI), which is cyclized with N-methylmaleimide (VII) by heating at 180 C and aromatized with DDQ giving the pyrrolocarbazole (VIII). The reaction of the hydroxy group of (VIII) with tosyl chloride and pyridine yields the corresponding tosylate (IX), which is finally condensed with dimethylamine in hot DMF.

参考文献No.531426
标题:Synthesis and structure-activity relationships of pyrrolocarbazole derivatives possessing thrombopoietic activity
作者:Ikuina, Y.; et al.
来源:217th ACS Natl Meet (March 21 1999, Anaheim) 1999,Abst MEDI 089
合成路线图解说明:

The condensation of 1-methylindole-2-carbaldehyde (I) with 2-hydroxybenzyl triphenylphosphonium bromide (II) by means of BuLi in THF gives the vinyl derivative (III), which is condensed with (R)(+)-methyl lactate (IV) by means of DEAD and PPh3 in THF yielding the chiral ether derivative (V). The reduction of the carboxylate group of (V) with DIBAL in THF affords the expected chiral propanol derivative (VI), which is cyclized with N-methylmaleimide (VII) by heating at 180 C and aromatized with DDQ giving the pyrrolocarbazole (VIII). The reaction of the hydroxy group of (VIII) with tosyl chloride and pyridine yields the corresponding tosylate (IX), which is finally condensed with dimethylamine in hot DMF.

合成路线图解说明:

The condensation of 1-methylindole-2-carbaldehyde (I) with 2-hydroxybenzyl triphenylphosphonium bromide (II) by means of BuLi in THF gives the vinyl derivative (III), which is condensed with (rac)-methyl lactate (IV) by means of DEAD and PPh3 in THF yielding the ether derivative (V). The reduction of the carboxylate group of (V) with DIBAL in THF affords the expected propanol derivative (VI), which is cyclized with N-methylmaleimide (VII) by heating at 180 C and aromatized with DDQ giving the pyrrolocarbazole (VIII). The reaction of the hydroxy group of (VIII) with tosyl chloride and pyridine yields the corresponding tosylate (IX), which is finally condensed with dimethylamine in hot DMF.

Drug Information Express,Drug R&D,Chemical Database,Patent Search.
Copyright © 2006-2026 Drug Future. All rights reserved.Contact Us