【药物名称】PD-180849
化学结构式(Chemical Structure):
参考文献No.530542
标题:The discovery of potent and selective peptidomimetic inhibitors of thrombin
作者:Cody, W.L.; et al.
来源:217th ACS Natl Meet (March 21 1999, Anaheim) 1999,Abst MEDI 077
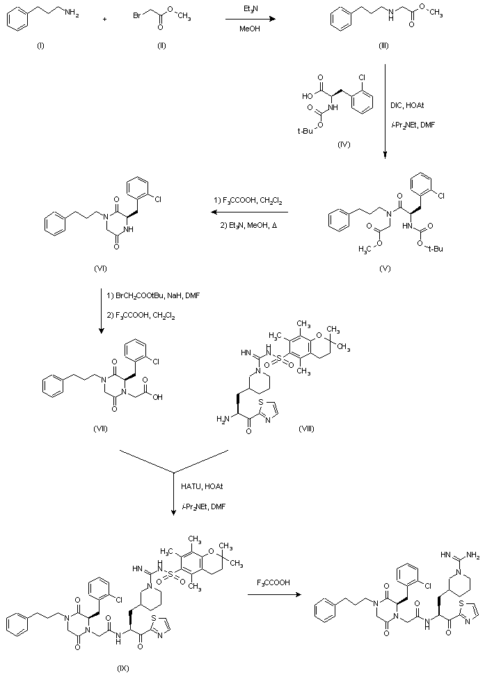
合成路线图解说明:

Alkylation of 3-phenylpropylamine (I) with methyl bromoacetate (II) provided secondary amine (III), which was coupled with N-Boc-(2-chlorophenyl)alanine (IV) using diisopropyl carbodiimide (DIC) and 7-hydroxy azabenzotriazole (HOAt). After deprotection of the Boc group from the resulting amide (V) with trifluoroacetic acid, cyclization in the presence of Et3N in refluxing MeOH funished piperazinedione (VI). The amide N of (VI) was alkylated with tert-butyl bromoacetate, and the tert-butyl group was then removed using trifluoroacetic acid to provide piperazineacetic acid (VII). This was then coupled to protected amino acid (VIII) by means of O-(7-azabenzotriazol-1-yl)-1,1,3,3-tetramethyluronium hexafluorophosphate (HATU) and HOAt to give (IX). Finally, the 2,2,5,7,8-pentamethylchroman-6-sulfonyl protecting group of (IX) was removed with trifluoroacetic acid to furnish the target compound.

Drug Information Express,Drug R&D,Chemical Database,Patent Search.
Copyright © 2006-2026 Drug Future. All rights reserved.Contact Us