【药物名称】L-165666
化学结构式(Chemical Structure):
参考文献No.27273
标题:Piperidines, pyrrolidines and hexahydro-1H-azepines promote release of growth hormone
作者:Morriello, G.J.; Patchett, A.A.; Yang, L.; Chen, M.H.; Nargund, R. (Merck & Co., Inc.)
来源:EP 0739204; US 5492916; US 5492920; US 5494919; WO 9513069
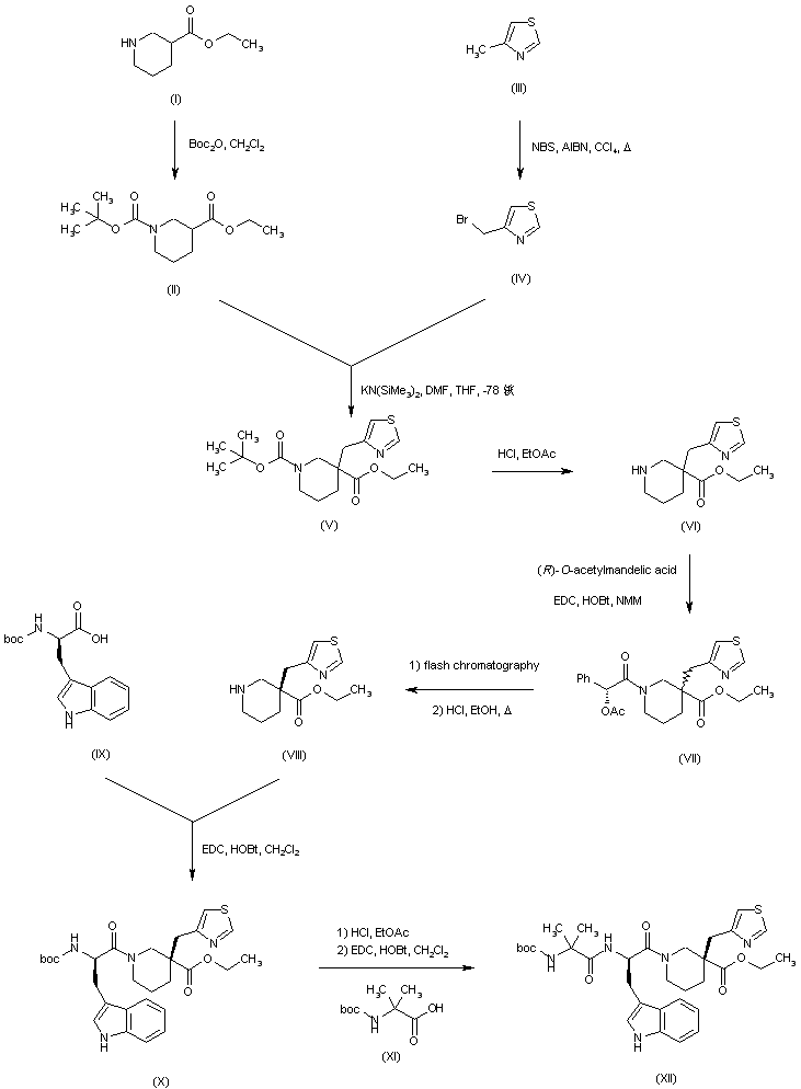
合成路线图解说明:

The synthesis of the precursor (XII) has been reported by two related procedures. Ethyl nipecotate (I) was protected as the N-Boc derivative (II) using di-tert-butyl dicarbonate. Benzylic bromination of 4-methylthiazole (III) with NBS and AIBN provided bromide (IV). Then, alkylation of protected nipecotate (II) with bromide (IV) in the presence of potassium hexamethyldisilazide gave the thiazolylmethyl derivative (V). Subsequent acid deprotection of the Boc group of (V) yielded racemic piperidine (VI). Resolution was achieved by coupling with (R)-O-acetylmandelic acid, followed by chromatographic separation of the diastereomeric amides (VII), and hydrolytic removal of the chiral auxiliary. The required (S)-nipecotate (VIII) was condensed with N-Boc-D-tryptophan (IX) to provide amide (X). Deprotection of the Boc group and further coupling of (X) with N-Boc-2-aminoisobutyric acid (XI) then furnished intermediate (XII).

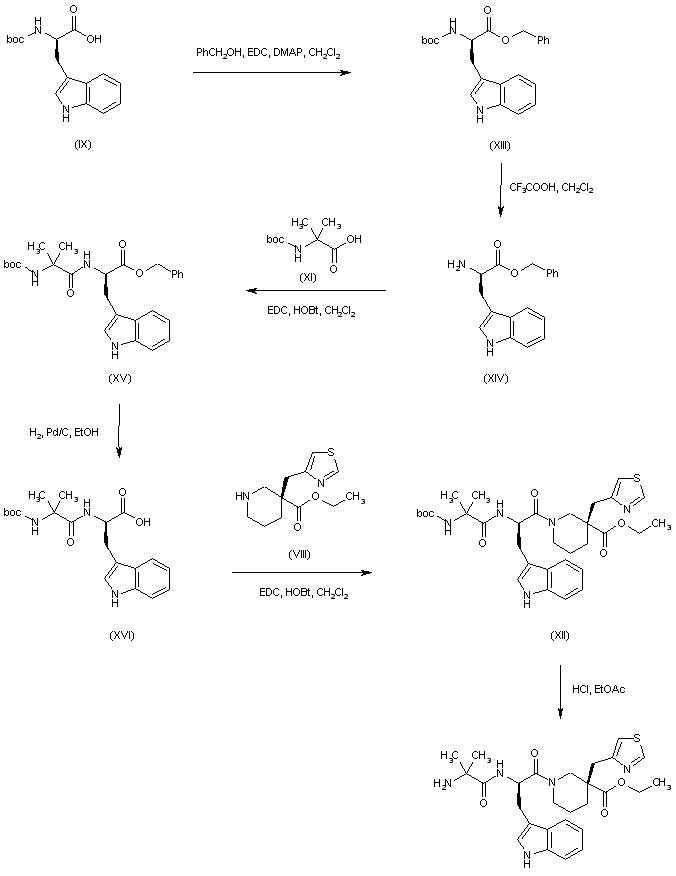
合成路线图解说明:

Alternatively, N-Boc-D-tryptophan (IX) was esterified with benzyl alcohol in the presence of EDC and DMAP to give benzyl ester (XIII). Deprotection of the Boc group of (XIII) with TFA, followed by coupling of the resulting amino ester (XIV) with N-Boc-2-aminoisobutyric acid (XI) provided protected dipeptide (XV). Hydrogenolytic removal of the benzyl ester of (XV) gave carboxylic acid (XVI), which was coupled to the (S)-nipecotate (VIII) to afford the precursor (XII). Finally, removal of the Boc protecting group by treatment with HCl in EtOAc yielded the title compound.

参考文献No.529361
标题:Thiazole-derived potent, highly bioavailable short duration growth hormone secretagogue L-165,666
作者:Cheng, K.; Yang, L.; Morriello, G.; Smith, R.; Patchett, A.A.; Scheim, k.D.; Jacks, T.; Leung, K.
来源:217th ACS Natl Meet (March 21 1999, Anaheim) 1999,Abst MEDI 074
合成路线图解说明:

The synthesis of the precursor (XII) has been reported by two related procedures. Ethyl nipecotate (I) was protected as the N-Boc derivative (II) using di-tert-butyl dicarbonate. Benzylic bromination of 4-methylthiazole (III) with NBS and AIBN provided bromide (IV). Then, alkylation of protected nipecotate (II) with bromide (IV) in the presence of potassium hexamethyldisilazide gave the thiazolylmethyl derivative (V). Subsequent acid deprotection of the Boc group of (V) yielded racemic piperidine (VI). Resolution was achieved by coupling with (R)-O-acetylmandelic acid, followed by chromatographic separation of the diastereomeric amides (VII), and hydrolytic removal of the chiral auxiliary. The required (S)-nipecotate (VIII) was condensed with N-Boc-D-tryptophan (IX) to provide amide (X). Deprotection of the Boc group and further coupling of (X) with N-Boc-2-aminoisobutyric acid (XI) then furnished intermediate (XII).

合成路线图解说明:

Alternatively, N-Boc-D-tryptophan (IX) was esterified with benzyl alcohol in the presence of EDC and DMAP to give benzyl ester (XIII). Deprotection of the Boc group of (XIII) with TFA, followed by coupling of the resulting amino ester (XIV) with N-Boc-2-aminoisobutyric acid (XI) provided protected dipeptide (XV). Hydrogenolytic removal of the benzyl ester of (XV) gave carboxylic acid (XVI), which was coupled to the (S)-nipecotate (VIII) to afford the precursor (XII). Finally, removal of the Boc protecting group by treatment with HCl in EtOAc yielded the title compound.

参考文献No.543634
标题:Thiazole-derived potent, highly bioavailable short duration growth hormone secretagogues
作者:Yang, L.; Morriello, G.; Leung, K.; Jacks, T.; Cheng, K.; Schleim, K.D.; Smith, R.; Patchett, A.A.
来源:Bioorg Med Chem Lett 1999,9(13),1761
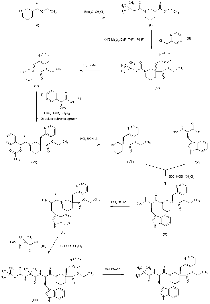
合成路线图解说明:

Protection of ethyl piperidine-3-carboxylate (I) with di tert-butyl dicarbonate gave carbamate (II), which was alkylated with 4-(bromomethyl)thiazole (III) in the presence of potassium hexamethyldisilazide to afford racemic (IV). Acid deprotection of the Boc group of (IV) yielded amine (V). This was resolved by coupling with (R)-O-acetyl mandelic acid (VI), followed by chromatographic separation of the diastereoisomers. Then, acid hydrolysis of the desired isomer (VII) provided the (S)-piperidine (VIII). Subsequent coupling of (VIII) with N-Boc-D-tryptophan (IX) in the presence of EDC and HOBt gave amide (X). After Boc deprotection of (X), the resulting amine (XI) was coupled with N-Boc-2-aminoisobutyric acid (XII) to produce (XIII). Finally, acid removal of the Boc group of (XIII) furnished the title compound.

合成路线图解说明:

Protection of ethyl piperidine-3-carboxylate (I) with di tert-butyl dicarbonate gave carbamate (II), which was alkylated with 2-(chloromethyl)pyridine chloride (III) in the presence of potassium hexamethyldisilazide to afford racemic (IV). Acid deprotection of the Boc group of (IV) yielded amine (V). This was resolved by coupling with (R)-O-acetyl mandelic acid (VI), followed by chromatographic separation of the diastereoisomers. Then, acid hydrolysis of the desired isomer (VII) provided the (S)-piperidine (VIII). Subsequent coupling of (VIII) with N-Boc-D-tryptophan (IX) in the presence of EDC and HOBt gave amide (X). After Boc deprotection of (X), the resulting amine (XI) was coupled with N-Boc-2-aminoisobutyric acid (XII) to produce (XIII). Finally, acid removal of the Boc group of (XIII) furnished the title compound.

Drug Information Express,Drug R&D,Chemical Database,Patent Search.
Copyright © 2006-2026 Drug Future. All rights reserved.Contact Us