【药物名称】
化学结构式(Chemical Structure):
参考文献No.542745
标题:Synthesis and evaluation of 1,4,5,6-tetrahydropyridazine derivatives as influenza neuraminidase inhibitors
作者:Zhang, L.; Williams, M.A.; Mendel, D.B.; Escarpe, P.A.; Chen, X.; Wang, K.Y.; Graves, B.J.; Lawton, G.; Kim, C.U.
来源:Bioorg Med Chem Lett 1999,9(13),1751
合成路线图解说明:

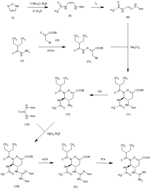
The reaction of imidazole (I) with tert-butoxycarbonyl anhydride in ethyl acetate, followed by acetylation with acetic anhydride gives the cis-ethylenediamine derivative (II), which is isomerized to its trans isomer (III) with I2 in THF. The cyclization of (III) with hydrazone (IV) by means of Na2CO3 in hot acetonitrile yields the tetrahydropyridazine (V), which s deprotected at the amino group with HCl in ethyl acetate affording the amine (VI). The condensation of (VI) with the protected thiourea (VII) by means of HgCl2 and Et3N in DMF gives the protected guanidine (VIII), which is hydrolyzed at the ester group with KOH in methanol/water providing the carboxylic acid (IX). Finally, this compound is deprotected with TFA in dichloromethane. The intermediate, the hydrazone derivative (IV) has been obtained by condensation of 2-ethylbutyryl hydrazide (X) with 3-bromo-2-oxobutyric acid ethyl ester in ethyl ether catalyzed by acetic acid.

参考文献No.544875
标题:Synthesis and evaluation odf tetrahydropyridazine derivatives as influenza neuraminidase inhibitors
作者:Zhang, L.; et al.
来源:217th ACS Natl Meet (March 21 1999, Anaheim) 1999,Abst MEDI 183
合成路线图解说明:

The reaction of imidazole (I) with tert-butoxycarbonyl anhydride in ethyl acetate, followed by acetylation with acetic anhydride gives the cis-ethylenediamine derivative (II), which is isomerized to its trans isomer (III) with I2 in THF. The cyclization of (III) with hydrazone (IV) by means of Na2CO3 in hot acetonitrile yields the tetrahydropyridazine (V), which s deprotected at the amino group with HCl in ethyl acetate affording the amine (VI). The condensation of (VI) with the protected thiourea (VII) by means of HgCl2 and Et3N in DMF gives the protected guanidine (VIII), which is hydrolyzed at the ester group with KOH in methanol/water providing the carboxylic acid (IX). Finally, this compound is deprotected with TFA in dichloromethane. The intermediate, the hydrazone derivative (IV) has been obtained by condensation of 2-ethylbutyryl hydrazide (X) with 3-bromo-2-oxobutyric acid ethyl ester in ethyl ether catalyzed by acetic acid.

Drug Information Express,Drug R&D,Chemical Database,Patent Search.
Copyright © 2006-2026 Drug Future. All rights reserved.Contact Us