【药物名称】Dihydroraloxifene
化学结构式(Chemical Structure):
参考文献No.38883
标题:Intermediates and processes for preparing benzo[b]thiophenes
作者:Misner, J.W.; Schmid, C.R. (Eli Lilly and Company)
来源:EP 0979076; WO 9848793
合成路线图解说明:

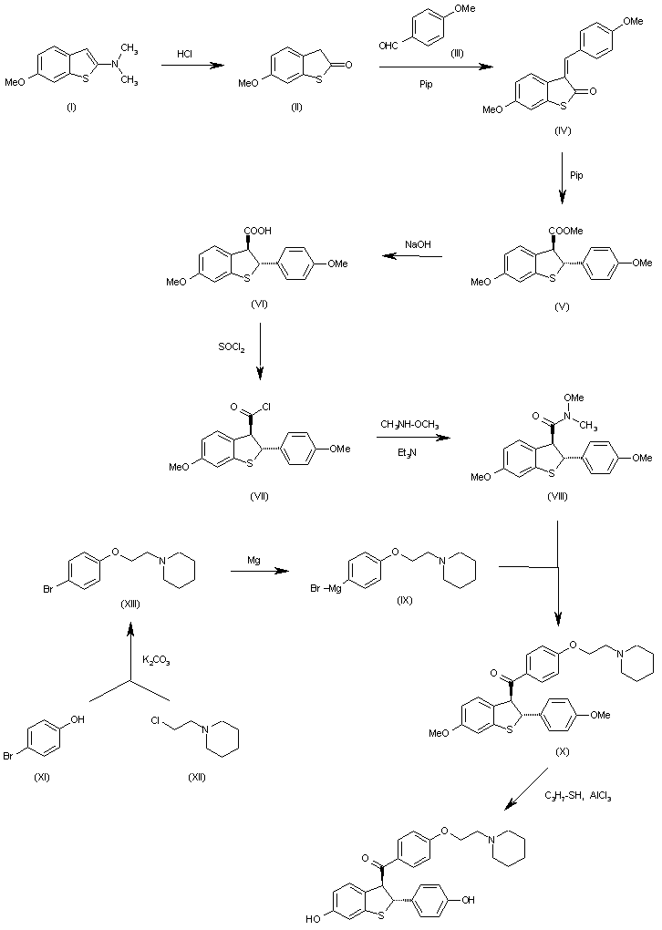
The hydrolysis of 2-(dimethylamino)-6-methoxybenzo[b]thiophene (I) with HCl in refluxing THF gives 6-methoxybenzo[b]thiophen-2(3H)-one (II), which is condensed with 4-methoxybenzaldehyde (III) by means of piperidine in methanol yielding the 3-benzylidene derivative (IV). The rearrangement of (IV) with the same catalyst and solvent affords trans-6-methoxy-2-(4-methoxyphenyl)-2,3-dihydrobenzo[b]thiophene-3-carboxylic acid methyl ester (V), which is hydrolyzed with NaOH in methanol to the corresponding acid (VI). The reaction of (VI) with SOCl2 in dichloromethane gives the acyl chloride (VII), which is condensed with N,O-dimethylhydroxylamine by means of triethylamine in dichloromethane providing the N-methoxy-N-methylamide (VIII). The condensation of (VIII) with the Grignard reagent (IX) in THF affords the dimethyl ether of the target compound (X), which is finally demethylated with AlCl3 and propanethiol in dichloromethane. The intermediate Grignard reagent (IX) has been obtained by condensation of 4-bromophenol (XI) with 1-(2-chloroethyl)piperidine (XII) by means of K2CO3 in hot DMF to give 1-[2-(4-bromophenoxy)ethyl]piperidine (XIII), which is then treated with magnesium in THF to afford (IX).

参考文献No.529148
标题:Synthesis and biological activity of dihydroraloxifene
作者:Glasebrook, A.L.; Schmid, C.R.; Stephenson, G.A.; Misner, J.W.
来源:217th ACS Natl Meet (March 21 1999, Anaheim) 1999,Abst MEDI 072
合成路线图解说明:

The hydrolysis of 2-(dimethylamino)-6-methoxybenzo[b]thiophene (I) with HCl in refluxing THF gives 6-methoxybenzo[b]thiophen-2(3H)-one (II), which is condensed with 4-methoxybenzaldehyde (III) by means of piperidine in methanol yielding the 3-benzylidene derivative (IV). The rearrangement of (IV) with the same catalyst and solvent affords trans-6-methoxy-2-(4-methoxyphenyl)-2,3-dihydrobenzo[b]thiophene-3-carboxylic acid methyl ester (V), which is hydrolyzed with NaOH in methanol to the corresponding acid (VI). The reaction of (VI) with SOCl2 in dichloromethane gives the acyl chloride (VII), which is condensed with N,O-dimethylhydroxylamine by means of triethylamine in dichloromethane providing the N-methoxy-N-methylamide (VIII). The condensation of (VIII) with the Grignard reagent (IX) in THF affords the dimethyl ether of the target compound (X), which is finally demethylated with AlCl3 and propanethiol in dichloromethane. The intermediate Grignard reagent (IX) has been obtained by condensation of 4-bromophenol (XI) with 1-(2-chloroethyl)piperidine (XII) by means of K2CO3 in hot DMF to give 1-[2-(4-bromophenoxy)ethyl]piperidine (XIII), which is then treated with magnesium in THF to afford (IX).

参考文献No.533692
标题:Synthesis and biological activity of trans-2,3-dihydroraloxifene
作者:Schmid, C.R.; Glasebrook, A.L.; Misner, J.W.; Stephenson, G.A.
来源:Bioorg Med Chem Lett 1999,9(8),1137
合成路线图解说明:

The hydrolysis of 2-(dimethylamino)-6-methoxybenzo[b]thiophene (I) with HCl in refluxing THF gives 6-methoxybenzo[b]thiophen-2(3H)-one (II), which is condensed with 4-methoxybenzaldehyde (III) by means of piperidine in methanol yielding the 3-benzylidene derivative (IV). The rearrangement of (IV) with the same catalyst and solvent affords trans-6-methoxy-2-(4-methoxyphenyl)-2,3-dihydrobenzo[b]thiophene-3-carboxylic acid methyl ester (V), which is hydrolyzed with NaOH in methanol to the corresponding acid (VI). The reaction of (VI) with SOCl2 in dichloromethane gives the acyl chloride (VII), which is condensed with N,O-dimethylhydroxylamine by means of triethylamine in dichloromethane providing the N-methoxy-N-methylamide (VIII). The condensation of (VIII) with the Grignard reagent (IX) in THF affords the dimethyl ether of the target compound (X), which is finally demethylated with AlCl3 and propanethiol in dichloromethane. The intermediate Grignard reagent (IX) has been obtained by condensation of 4-bromophenol (XI) with 1-(2-chloroethyl)piperidine (XII) by means of K2CO3 in hot DMF to give 1-[2-(4-bromophenoxy)ethyl]piperidine (XIII), which is then treated with magnesium in THF to afford (IX).

Drug Information Express,Drug R&D,Chemical Database,Patent Search.
Copyright © 2006-2026 Drug Future. All rights reserved.Contact Us