【药物名称】
化学结构式(Chemical Structure):
参考文献No.33298
标题:Substd. pyridyl pyrroles, compsns. containing such cpds. and methods of use
作者:De Laszlo, S.E.; Chang, L.L.; Kim, D.; Mantlo, N.B. (Merck & Co., Inc.)
来源:EP 0859771; JP 1999514651; WO 9716442
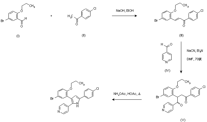
合成路线图解说明:

Aldol condensation of 5-bromo-2-propoxybenzaldehyde (I) with 4'-chloroacetophenone in the presence of NaOH produced chalcone (III) (1), which was condensed with pyridine-4-carbaldehyde (IV) using NaCN as the catalyst to yield diketone (V). Finally, the target pyrrole was constructed by Paal-Knorr synthesis using diketone (V) and ammonium acetate in boiling AcOH.

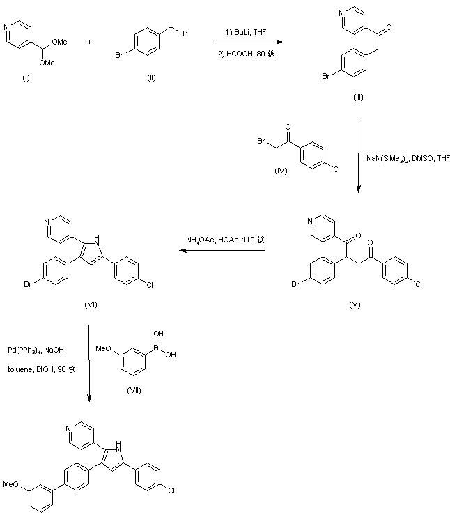
合成路线图解说明:

The alkylation of 4-(dimethoxymethyl)pyridine (I) with 4-bromobenzyl bromide (II) in the presence of n-butyllithium, followed by ketal hydrolysis with formic acid provided the diaryl ethanone (III). Further alkylation of (III) with 4-chlorophenacyl bromide (IV) employing sodium hexamethyldisilazide yielded diketone (V), which was cyclized in the presence of ammonium acetate in boiling AcOH to produce pyrrole (VI). Finally, Suzuki coupling of (VI) with 3-methoxybenzeneboronic acid (VII) by means of Pd(PPh3)4 furnished the title compound.

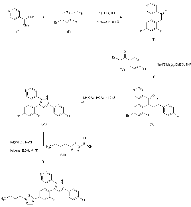
合成路线图解说明:

The alkylation of 4-(dimethoxymethyl)pyridine (I) with 4-bromo-2-fluorobenzyl bromide (II) in the presence of n-butyllithium, followed by ketal hydrolysis with formic acid provided the diaryl ethanone (III). Further alkylation of (III) with 4-chlorophenacyl bromide (IV) employing sodium hexamethyldisilazide yielded diketone (V), which was cyclized in the presence of ammonium acetate in boiling AcOH to produce pyrrole (VI). Finally, Suzuki coupling of (VI) with 5-butyl-2-thiopheneboronic acid (VII) by means of Pd(PPh3)4 furnished the title compound.

参考文献No.36859
标题:Substd. pyridyl pyrroles, compsns. containing such cpds. and methods of use
作者:de Laszlo, S.E.; Kim, D.; Chang, L.L.; Mantlo, N.B. (Merck & Co., Inc.)
来源:US 5776954
合成路线图解说明:

Aldol condensation of 5-bromo-2-propoxybenzaldehyde (I) with 4'-chloroacetophenone in the presence of NaOH produced chalcone (III) (1), which was condensed with pyridine-4-carbaldehyde (IV) using NaCN as the catalyst to yield diketone (V). Finally, the target pyrrole was constructed by Paal-Knorr synthesis using diketone (V) and ammonium acetate in boiling AcOH.

合成路线图解说明:

The alkylation of 4-(dimethoxymethyl)pyridine (I) with 4-bromobenzyl bromide (II) in the presence of n-butyllithium, followed by ketal hydrolysis with formic acid provided the diaryl ethanone (III). Further alkylation of (III) with 4-chlorophenacyl bromide (IV) employing sodium hexamethyldisilazide yielded diketone (V), which was cyclized in the presence of ammonium acetate in boiling AcOH to produce pyrrole (VI). Finally, Suzuki coupling of (VI) with 3-methoxybenzeneboronic acid (VII) by means of Pd(PPh3)4 furnished the title compound.

合成路线图解说明:

The alkylation of 4-(dimethoxymethyl)pyridine (I) with 4-bromo-2-fluorobenzyl bromide (II) in the presence of n-butyllithium, followed by ketal hydrolysis with formic acid provided the diaryl ethanone (III). Further alkylation of (III) with 4-chlorophenacyl bromide (IV) employing sodium hexamethyldisilazide yielded diketone (V), which was cyclized in the presence of ammonium acetate in boiling AcOH to produce pyrrole (VI). Finally, Suzuki coupling of (VI) with 5-butyl-2-thiopheneboronic acid (VII) by means of Pd(PPh3)4 furnished the title compound.

参考文献No.527591
标题:Synthesis and biological studies of a novel inhibitor of NF-kappaB
作者:McMillan, M.; Cudaback, E.; Misra-Press, A.; et al.
来源:217th ACS Natl Meet (March 21 1999, Anaheim) 1999,Abst MEDI 213
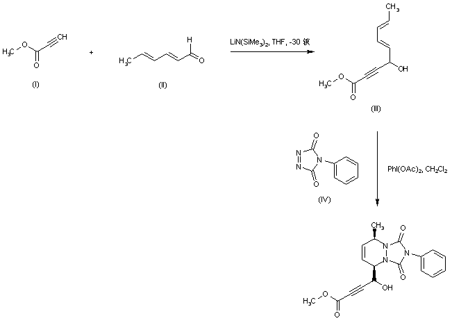
合成路线图解说明:

Addition of methyl propiolate (I) to 2,4-hexadienal (II) using lithium hexamethyldisilazide afforded diene (III). Subsequent cycloaddition of (III) to 4-phenyl urazole (IV) in the presence of iodobenzene diacetate produced the corresponding triazolopyridazine as a diastereomeric mixture, from which the required cis isomer was isolated by flash chromatography.

合成路线图解说明:

The alkylation of 4-(dimethoxymethyl)pyridine (I) with 4-bromobenzyl bromide (II) in the presence of n-butyllithium, followed by ketal hydrolysis with formic acid provided the diaryl ethanone (III). Further alkylation of (III) with 4-chlorophenacyl bromide (IV) employing sodium hexamethyldisilazide yielded diketone (V), which was cyclized in the presence of ammonium acetate in boiling AcOH to produce pyrrole (VI). Finally, Suzuki coupling of (VI) with 3-methoxybenzeneboronic acid (VII) by means of Pd(PPh3)4 furnished the title compound.

合成路线图解说明:

The alkylation of 4-(dimethoxymethyl)pyridine (I) with 4-bromo-2-fluorobenzyl bromide (II) in the presence of n-butyllithium, followed by ketal hydrolysis with formic acid provided the diaryl ethanone (III). Further alkylation of (III) with 4-chlorophenacyl bromide (IV) employing sodium hexamethyldisilazide yielded diketone (V), which was cyclized in the presence of ammonium acetate in boiling AcOH to produce pyrrole (VI). Finally, Suzuki coupling of (VI) with 5-butyl-2-thiopheneboronic acid (VII) by means of Pd(PPh3)4 furnished the title compound.

Drug Information Express,Drug R&D,Chemical Database,Patent Search.
Copyright © 2006-2025 Drug Future. All rights reserved.Contact Us