【药物名称】
化学结构式(Chemical Structure):
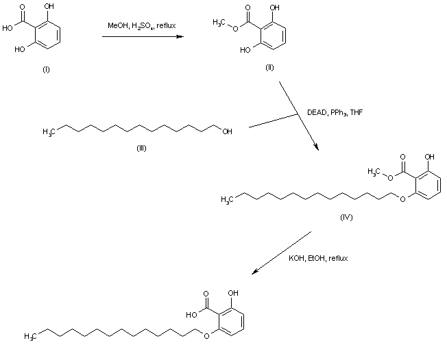
参考文献No.555529
标题:6-Oxa isosteres of anacardic acids as potent inhibitors of bacterial histidine protein kinase (HPK)-mediated two-component regulatory systems
作者:Kanojia, R.M.; Murray, W.; Bernstein, J.; Fernandez, J.; Foleno, B.D.; Krause, H.; Lawrence, L.; Webb, G.; Barrett, J.F.
来源:Bioorg Med Chem Lett 1999,9(20),2947
合成路线图解说明:

Fischer esterification of gamma-resorcylic acid (I) with EtOH and H2SO4 provided the ethyl ester (II). Subsequent Mitsunobu coupling of (II) with 1-tetradecanol (III) furnished ether (IV). The ethyl ester group of (IV) was finally hydrolyzed under basic conditions to yield the title carboxylic acid.

参考文献No.555704
标题:6-Oxa isosteres of anacardic acids as potent inhibitors of bacterial histidine protein kinase (HPK)-mediated two-component regulatory systems
作者:Kanojia, R.M.; Fernandez, J.; Foleno, B.D.; Murray, W.; Benstein, J.; Barret, J.F.
来源:217th ACS Natl Meet (March 21 1999, Anaheim) 1999,Abst MEDI 193
合成路线图解说明:

Fischer esterification of gamma-resorcylic acid (I) with EtOH and H2SO4 provided the ethyl ester (II). Subsequent Mitsunobu coupling of (II) with 1-tetradecanol (III) furnished ether (IV). The ethyl ester group of (IV) was finally hydrolyzed under basic conditions to yield the title carboxylic acid.

Drug Information Express,Drug R&D,Chemical Database,Patent Search.
Copyright © 2006-2026 Drug Future. All rights reserved.Contact Us