【药物名称】ALT-946
化学结构式(Chemical Structure):
参考文献No.38604
标题:N-Acylaminoalkyl-hydrazinecarboximidamides
作者:Wagle, D.R.; Ulrich, P.C. (Alteon Inc.)
来源:US 5877217
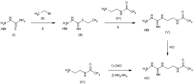
合成路线图解说明:

Treatment of thiosemicarbazide hydrobromide (I) with ethyl bromide (II) in refluxing EtOH affords S-ethylthiosemicarbazide (III), which is then condensed with N-acetyl-ethylenediamine (IV) in refluxing EtOH to provide N1-(2-acetamidoethyl)-N3-aminoguanidine (V). Finally, the desired product is obtained by the formation of the corresponding hydrochloride salt by treatment of (V) with HCl in methanol. Alternatively the target compound can be obtained by reaction of N-acetylethylenediamine (IV) with cyanogen chloride in 2-propanol followed by treatment with anhydrous hydrazine.

Drug Information Express,Drug R&D,Chemical Database,Patent Search.
Copyright © 2006-2026 Drug Future. All rights reserved.Contact Us