【药物名称】
化学结构式(Chemical Structure):
参考文献No.30764
标题:IL-8 receptor antagonists
作者:Widdowson, K.L.; Veber, D.F.; Jurewicz, A.J.; Rutledge, M.C. Jr.; Hertzberg, R.P. (SmithKline Beecham plc)
来源:EP 0809492; JP 1999503110; US 5780483; WO 9625157
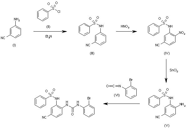
合成路线图解说明:

The sulfonation of 3-aminobenzonitrile (I) with benzenesulfonyl chloride (II) by means of triethylamine in dichloromethane gives the sulfonamide (III), which is nitrated with HNO3 in acetic anhydride yielding 4-nitro-3-(phenyl sulfonamido)benzonitrile (IV). The reduction of (IV) with SnCl2 in hot ethanol affords the corresponding 4-amino derivative (V), which is finally condensed with 2-bromophenyl isocyanate (VI) in hot DMF.

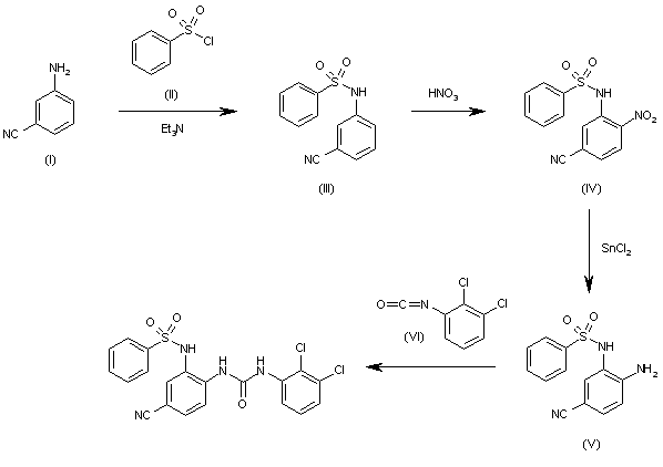
合成路线图解说明:

The sulfonation of 3-aminobenzonitrile (I) with benzenesulfonyl chloride (II) by means of triethylamine in dichloromethane gives the sulfonamide (III), which is nitrated with HNO3 in acetic anhydride yielding 4-nitro-3-(phenyl sulfonamido)benzonitrile (IV). The reduction of (IV) with SnCl2 in hot ethanol affords the corresponding 4-amino derivative (V), which is finally condensed with 2,3-dichlorophenyl isocyanate (VI) in hot DMF.

Drug Information Express,Drug R&D,Chemical Database,Patent Search.
Copyright © 2006-2026 Drug Future. All rights reserved.Contact Us