【药物名称】
化学结构式(Chemical Structure):
参考文献No.36937
标题:Sulfonic acid or sulfonylamino N-(heteroaralkyl)-azaheterocyclylamide cpds.
作者:Choi-Sledeski, Y.M.; Pauls, H.W.; Green, D.M.; Barton, J.N.; Becker, M.R.; Ewing, W.R. (Aventis Pharmaceuticals, Inc.)
来源:EP 0944386; WO 9825611
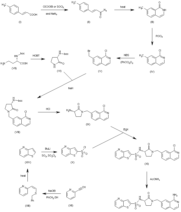
合成路线图解说明:

The reaction of 3-(4-methylphenyl)-2-propenoic acid (I) with ethyl chloroformate or with SOCl2 and then with sodium azide gives the corresponding azide (II), which is cyclized termally yielding 7-methylisoquinolin-1(2H)-one (III). The reaction of (III) with refluxing POCl3 affords 1-chloro-7-methylisoquinoline (IV), which is brominated with NBS and benzoyl peroxide in refluxing CCl4 giving the bromomethyl derivative (V). The condensation of (V) with 3(S)-(tert-butoxycarbonylamino)pyrrolidin-2-one (VI) (obtained by cyclization of the diaminobutyric acid (VII) by means of HOBT in THF) by means of NaH in THF/DMF yields the N-substituted pyrrolidone (VIII), which is deprotected with HCl affording the 3(S)-aminopyrrolidone (IX). The acylation of (IX) with thieno [3,2-b]pyridine-2-sulfonyl chloride (X) by means of triethylamine in acetonitrile gives the sulfonamide (XI), which is finally treated with ammonium acetate in hot phenol. The intermediate sulfonyl chloride (X) has been obtained as follows: The reaction of 2-ethynylpyridine (XII) with benzylthiol and sodium ethoxide in ethanol gives 2-[2-(benzylsulfanyl)vinyl]pyridine (XIII), which is cyclized at 625 C yielding thieno[3,2-bpyridine (XIV). Finally, this compound is chlorosulfonated by reaction with BuLi, SO2 and SO2Cl2 in THF.

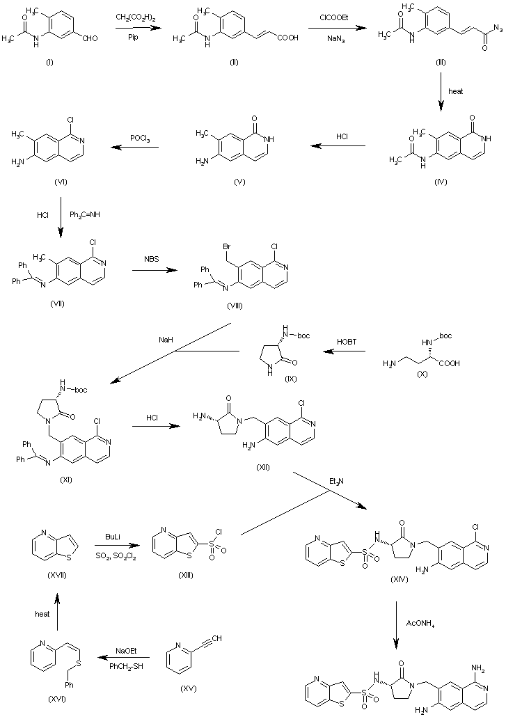
合成路线图解说明:

The reaction of 3-acetamido-4-methylbenzaldehyde (I) with malonic acid by means of piperidine in hot pyridine gives 3-(3-acetamido-4-methylphenyl)-2(E)-propenoic acid (II), which by reaction first with ethyl chloroformate and then with sodium azide yields the corresponding azide (III). The thermal cyclizaton of (III) affords the isoquinolinone (IV), which is treated with HCl in refluxing ethanol to give 6-amino-7-methylisoquinolin-1(2H)-one (V). The reaction of (V) with refluxing POCl3 yields the 1-chloroisoquinoline (VI), which is protected by reaction with phenzophenoneimine and HCl in methanol to afford 1-chloro-6-(diphenylmethyleneamino)-7-metylisoquinoline (VII). The bromination of (VII) with NBS and benzoyl peroxide in refluxing CCl4 gives the bromomethyl derivative (VIII), which is condensed with 3(S)-(tert-butoxycarbonylamino)pyrrolidin-2-one (IX) (obtained by cyclization of the diaminobutyric acid (X) by means of HOBT in THF) by means of NaH in THF/DMF yielding the N-substituted pyrrolidone (XI). The deprotection of (XI) with HCl afford the diamino intermediate (XII), which is selectively acylated with thieno[3,2-b]pyridine-2-sulfonyl chloride (XIII) by means of triethylamine in acetonitrile giving the sulfonamidde (XIV). Finally, this compound is treated with ammonium acetate in hot phenol. The intermediate sulfonyl chloride (XIII) has been obtained as follows: The reaction of 2-ethynylpyridine (XV) with benzylthiol and sodium ethoxide in ethanol gives 2-[2-(benzylsulfanyl)vinyl]pyridine (XVI), which is cyclized at 625 C yielding thieno[3,2-bpyridine (XVII). Finally, this compound is chlorosulfonated by reaction with BuLi, SO2 and SO2Cl2 in THF.

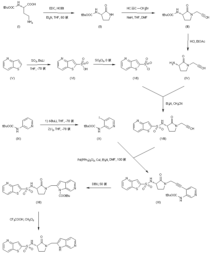
合成路线图解说明:

3-(tert-Butoxycarbonylamino)-2-pyrrolidinone (II), obtained by cyclization of (S)-Boc-2,4-diaminobutyric acid (I) in the presence of EDC, was regioselectively alkylated with propargyl bromide and NaH to give the N-propargyl pyrrolidinone (III). Subsequent acid-promoted deprotection of the Boc group of (III) provided aminopyrrolidinone (IV). Sulfonyl chloride (VII) was prepared by lithiation of thienopyridine (V), followed by addition of SO2, and further chlorination of the resulting sulfinic acid (VI) with sulfuryl chloride. This sulfonyl chloride (VII) was then coupled with aminopyrrolidinone (III), yielding sulfonamide (VIII). Lithiation of 3-(tert-butoxycarbonylamino)pyridine (IX) and subsequent treatment with iodine in cold THF provided the iodopyridine derivative (X). Palladium-mediated coupling of (X) with propargyl pyrrolidinone (VIII) furnished adduct (XI), which was cyclized to the pyrrolopyridine system (XII) upon treatment with DBU. Finally, the Boc protecting group of (XII) was removed using trifluoroacetic acid.

参考文献No.552680
标题:Aminoisoquinolines: Design and synthesis of an orally active benzamidine isostere for the inhibition of factor Xa
作者:Choi-Sledeski, Y.M.; Becker, M.R.; Green, D.M.; Davis, R.; Ewing, W.R.; Mason, H.J.; Ly, C.; Spada, A.; Liang, G.; Cheney, D.; Barton, J.; Chu, V.; Brown, K.; Colussi, D.; Bentley, R.; Leadley, R.; Dunwiddie, C.; Pauls, H.W.
来源:Bioorg Med Chem Lett 1999,9(17),2539
合成路线图解说明:

The reaction of 3-acetamido-4-methylbenzaldehyde (I) with malonic acid by means of piperidine in hot pyridine gives 3-(3-acetamido-4-methylphenyl)-2(E)-propenoic acid (II), which by reaction first with ethyl chloroformate and then with sodium azide yields the corresponding azide (III). The thermal cyclizaton of (III) affords the isoquinolinone (IV), which is treated with HCl in refluxing ethanol to give 6-amino-7-methylisoquinolin-1(2H)-one (V). The reaction of (V) with refluxing POCl3 yields the 1-chloroisoquinoline (VI), which is protected by reaction with phenzophenoneimine and HCl in methanol to afford 1-chloro-6-(diphenylmethyleneamino)-7-metylisoquinoline (VII). The bromination of (VII) with NBS and benzoyl peroxide in refluxing CCl4 gives the bromomethyl derivative (VIII), which is condensed with 3(S)-(tert-butoxycarbonylamino)pyrrolidin-2-one (IX) (obtained by cyclization of the diaminobutyric acid (X) by means of HOBT in THF) by means of NaH in THF/DMF yielding the N-substituted pyrrolidone (XI). The deprotection of (XI) with HCl afford the diamino intermediate (XII), which is selectively acylated with thieno[3,2-b]pyridine-2-sulfonyl chloride (XIII) by means of triethylamine in acetonitrile giving the sulfonamidde (XIV). Finally, this compound is treated with ammonium acetate in hot phenol. The intermediate sulfonyl chloride (XIII) has been obtained as follows: The reaction of 2-ethynylpyridine (XV) with benzylthiol and sodium ethoxide in ethanol gives 2-[2-(benzylsulfanyl)vinyl]pyridine (XVI), which is cyclized at 625 C yielding thieno[3,2-bpyridine (XVII). Finally, this compound is chlorosulfonated by reaction with BuLi, SO2 and SO2Cl2 in THF.

Drug Information Express,Drug R&D,Chemical Database,Patent Search.
Copyright © 2006-2026 Drug Future. All rights reserved.Contact Us