【药物名称】TEI-9874
化学结构式(Chemical Structure):
参考文献No.28468
标题:Naphthalene deriv.
作者:Takenouchi, K.; Takahashi, K.; Hasegawa, M.; Takeuchi, T.; Komoriya, K. (Teijin Ltd.)
来源:EP 0763523; US 5945450; WO 9532943
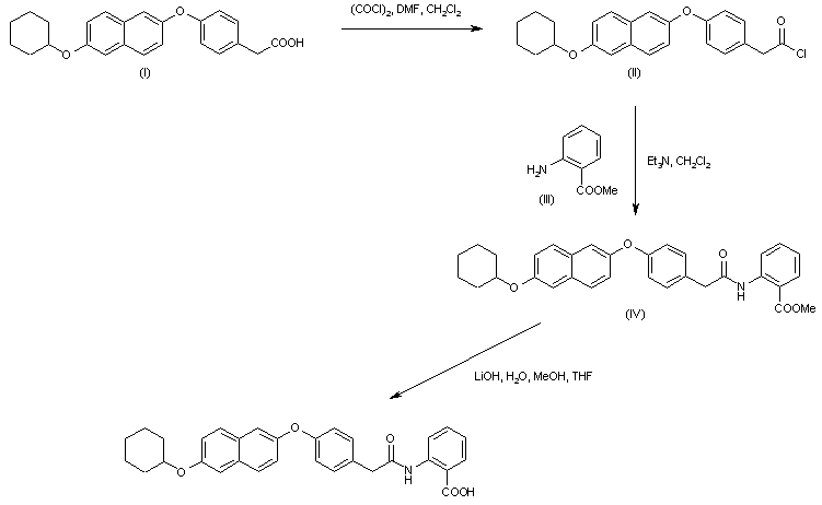
合成路线图解说明:

4-[6-(Cyclohexyloxy)-2-naphthyloxy]phenylacetic acid (I) was converted to acid chloride (II) by treatment with oxalyl chloride and catalytic DMF. Subsequent coupling of (II) with methyl anthranilate (III) produced the corresponding amide (IV). The methyl ester group of (IV) was finally hydrolyzed with LiOH in THF-MeOH.

Drug Information Express,Drug R&D,Chemical Database,Patent Search.
Copyright © 2006-2026 Drug Future. All rights reserved.Contact Us