【药物名称】SUN-N4057
化学结构式(Chemical Structure):
参考文献No.30751
标题:Benzoxazepine derivs., salts thereof, and drugs containing the same
作者:Tatsuoka, T.; Kamei, K.; Maeda, N.; Inoue, T.; Nishimura, M.; Hirotsu, I. (Suntory Ltd.)
来源:EP 0755930; WO 9624594
合成路线图解说明:

Alkylation of 2,3,4,5-tetrahydro-1,4-benzoxazepin-3,5-dione (I) with 1-bromo-4-chlorobutane (II) in the presence of K2CO3 afforded the 4-(chlorobutyl)benzoxazepindione (III), which was further treated with POCl3 in boiling dioxan to yield the 3-chlorobenzoxazepinone (IV). Condensation of (IV) with 4-(2-pyridyl)-1,2,5,6-tetrahydropyridine (V) using NaI and Et3N in hot DMF provided the target compound, which was isolated as the dihydrochloride salt.

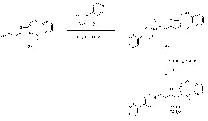
合成路线图解说明:

In an alternative procedure, the chlorobutyl derivative (IV) was condensed with 2,4'-dipyridine (VI) by means of NaI in boiling acetone, yielding pyridinium salt (VII). Subsequent reduction of (VII) with NaBH4 in EtOH then provided the title tetrahydropyridine.

Drug Information Express,Drug R&D,Chemical Database,Patent Search.
Copyright © 2006-2026 Drug Future. All rights reserved.Contact Us