【药物名称】SC-68448
化学结构式(Chemical Structure):
参考文献No.32763
标题:Meta-guanidine, urea, thiourea or azacyclic amino benzoic acid derivs. as integrin antagonists
作者:Ruminski, P.G.; Clare, M.; Collins, P.W.; Desai, B.N.; Lindmark, R.J.; Rico, J.G.; Rogers, T.E.; Russell, M.A. (Pharmacia Corp.)
来源:EP 0850221; JP 1999510814; US 6013651; WO 9708145
合成路线图解说明:

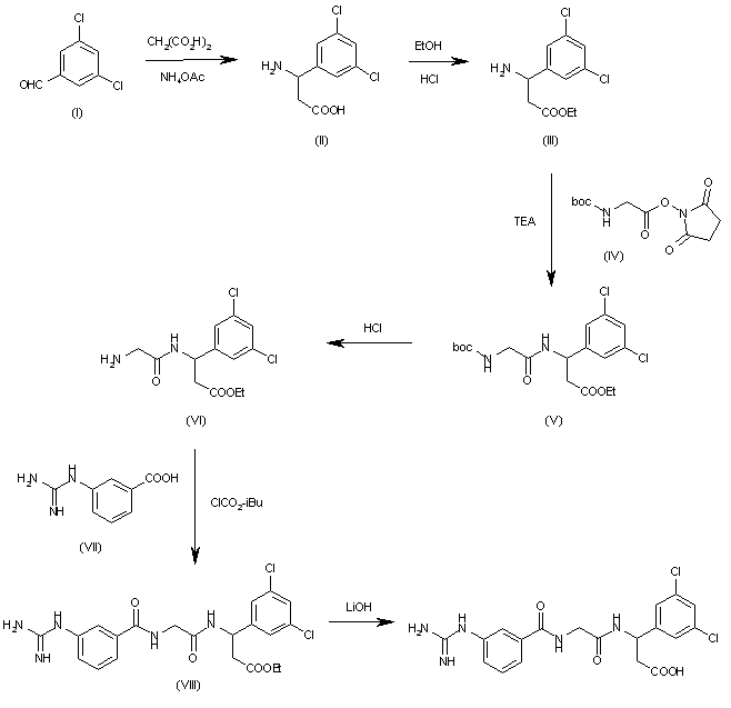
The reaction of 3,5-dichlorobenzaldehyde (I) with malonic acid and ammonium acetate in refluxing isopropanol gives 3-amino-3-(3,5-dichlorophenyl)propionic acid (II), which is esterified with ethanol and HCl yielding the ethyl ester (III), The condensation of (III) with N-(tert-butoxycarbonyl)glycine succinimidyl ester (IV) by means of TEA in THF affords the glycinamide (V), which is deprotected with HCl in dioxane to afford intermediate (VI). The free amino group of (VI) is then acylated with 3-guanidinobenzoic acid by means of isobutyl chloroformate and NMM in DMF yielding the ethyl ester (VIII) of the target product, which is finally hydrolyzed with LiOH in water.

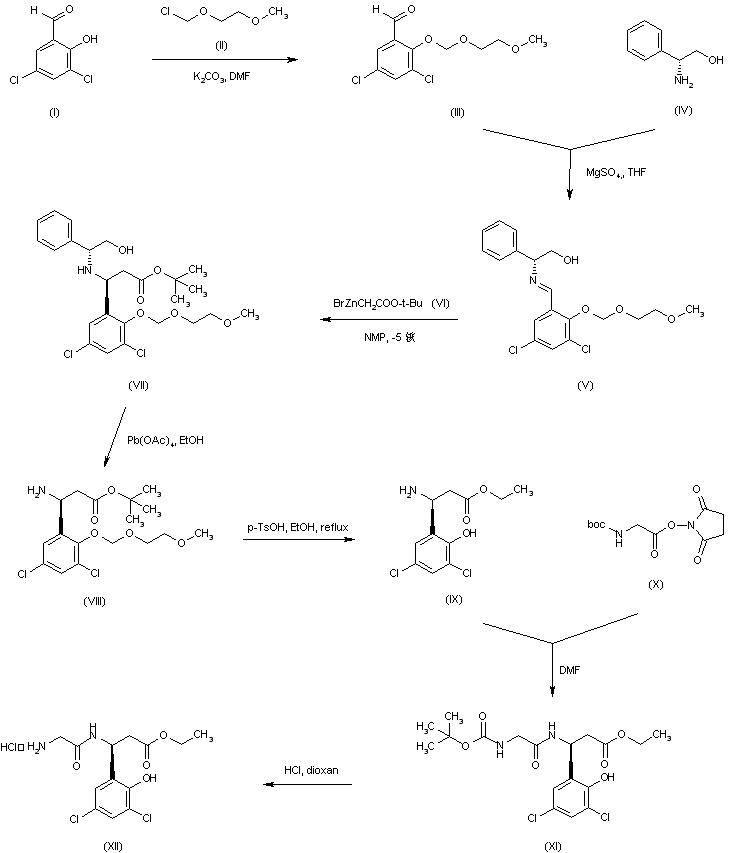
合成路线图解说明:

3,5-Dichlorosalicylaldehyde (I) was protected by treatment with methoxyethoxymethyl chloride (II) in the presence of K2CO3 in DMF. The protected aldehyde (III) was then condensed with (S)-phenylglycinol (IV) to give the chiral imine (V). Addition of the Reformatskii reagent (VI) to the imine function gave rise to aminoester (VII) as a single diastereoisomer. Dealkylation of (VII) with lead tetraacetate furnished the chiral primary amine (VIII). Subsequent acidic treatment of (VIII) cleaved the methoxyethoxy protecting group and the tert-butyl ester to afford (IX). Amine (IX) was then coupled with N-Boc-glycine N-hydroxysuccinimidyl ester (X), producing amide (XI). Acid cleavage of the N-Boc group of (XI) then yielded the intermediate (XII).

合成路线图解说明:

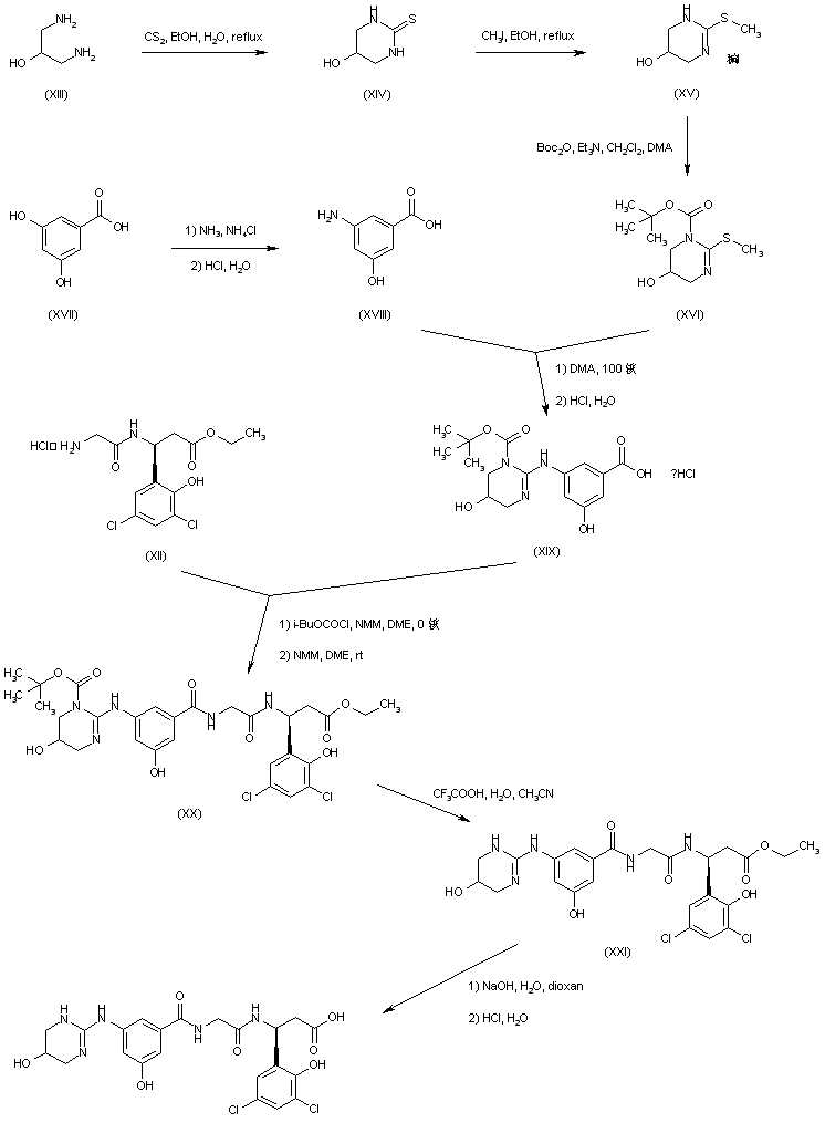
The condensation of 1,3-diamino-2-propanol (XIII) with carbon disulfide produced 5-hydroxytetrahydropyrimidine-2-thione (XIV). Alkylation of thione (XIV) with iodomethane gave the cyclic S-methylisothiourea (XV), which was further protected as the N-Boc derivative (XVI). 3-Amino-5-hydroxybenzoic acid (XVIII) was prepared from 3,5-dihydroxybenzoic acid (XVII) by treatment with ammonia and ammonium chloride. Coupling of thioether (XVI) with amino acid (XVIII) in hot DMA furnished the guanidine adduct (XIX). This was then condensed with the intermediate (XII) via activation as the mixed anhydride with isobutyl chloroformate, producing amide (XX). Acid cleavage of the Boc group of (XX) gave (XXI). The ethyl ester of (XXI) was then hydrolyzed using NaOH in aqueous dioxan. The title compound was finally isolated as the hydrochloride salt after lyophilization from an HCl solution.

Drug Information Express,Drug R&D,Chemical Database,Patent Search.
Copyright © 2006-2026 Drug Future. All rights reserved.Contact Us