【药物名称】RWJ-52807
化学结构式(Chemical Structure):
参考文献No.41567
标题:Octahydropyrrolo-[3,4-c]carbazoles useful as analgesic agents
作者:Pitis, P.M.; Carmosin, R.J.; Carson, J.R. (Ortho-McNeil Pharmaceutical, Inc.)
来源:US 6063803; WO 9965911
合成路线图解说明:

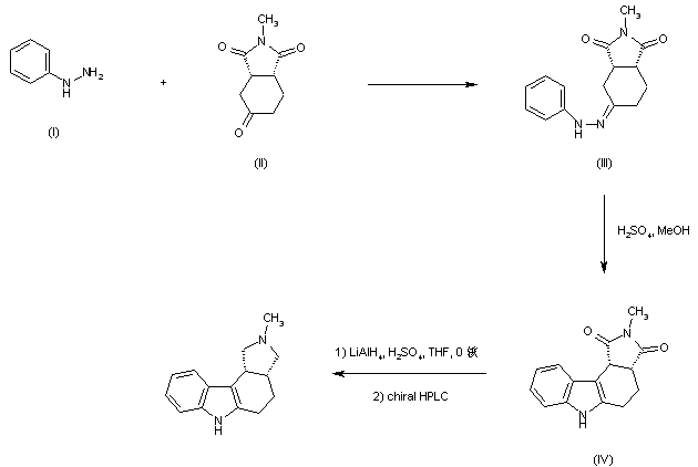
The condensation of phenyl hydrazine (I) with the cis N-methyl-perhydroisoindoletrione (II) gave hydrazone (III), which underwent Fischer indole synthesis upon treatment with methanolic H2SO4 to afford the pyrrolocarbazole (IV) as the major regioisomer (1). Reduction of the imide group of (IV) with aluminum hydride, generated from LiAlH4 and H2SO4, provided the corresponding amine as a racemic mixture. Separation of the desired (R,R)-enantiomer was then achieved by chiral HPLC on Chiralcel(R) OJ.

参考文献No.700772
标题:
作者:Berman, B.; Kaufman, J.
来源:Can J Chem 1982,60(4),419-424
合成路线图解说明:

The condensation of phenyl hydrazine (I) with the cis N-methyl-perhydroisoindoletrione (II) gave hydrazone (III), which underwent Fischer indole synthesis upon treatment with methanolic H2SO4 to afford the pyrrolocarbazole (IV) as the major regioisomer (1). Reduction of the imide group of (IV) with aluminum hydride, generated from LiAlH4 and H2SO4, provided the corresponding amine as a racemic mixture. Separation of the desired (R,R)-enantiomer was then achieved by chiral HPLC on Chiralcel(R) OJ.

Drug Information Express,Drug R&D,Chemical Database,Patent Search.
Copyright © 2006-2026 Drug Future. All rights reserved.Contact Us