【药物名称】LY-377604
化学结构式(Chemical Structure):
参考文献No.35784
标题:Carbazole analogues as selective B3 adrenergic agonists
作者:Crowell, T.A.; Evrard, D.A.; Jones, C.D.; Muehl, B.S.; Rito, C.J.; Shuker, A.J.; Thorpe, A.J.; Thrasher, K.J. (Eli Lilly and Company)
来源:EP 0827746; WO 9809625
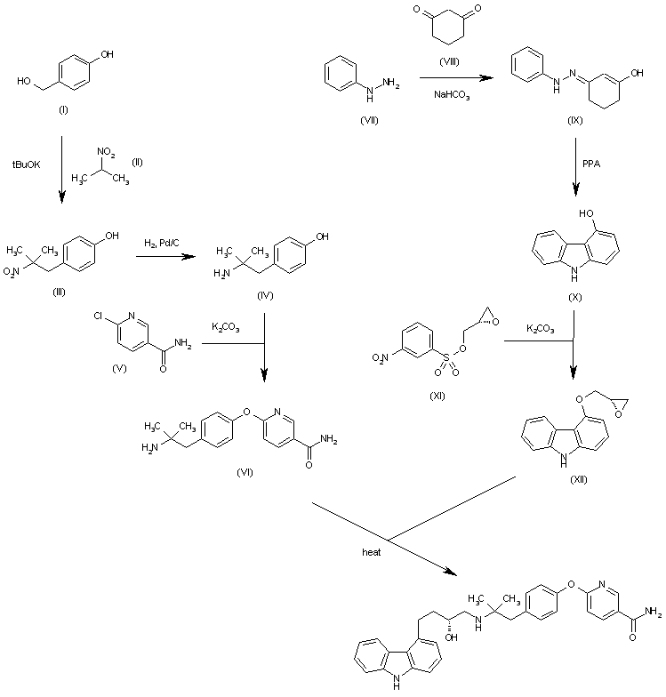
合成路线图解说明:

By condensation of substituted nicotinamide (VI) with the carbazolyoxymethyl-oxirane (XII) in hot methanol/water. The intermediates the nicotinamide (VI) and the oxirane (XII) have been obtained as follows: 1.- Nicotinamide (VI): The reaction of 4-hydroxybenzyl alcohol (I) with 2-nitropropane (II) by means of potassium tert-butoxide in hot diglyme gives 4-(2-methyl-2-nitropropyl)phenol (III), which is reduced to the corresponding amino derivative (IV) with H2 over Pd/C in methanol/ethanol/acetic acid. Finally, this compound is condensed with 6-chloronicotinamide (V) by means of K2CO3 in dimethylacetamide/isooctane. 2.- Oxirane (XII): The reaction of phenylhydrazine (VII) with cyclohexane-1,3-dione (VIII) by means of NaHCO3 in isopropanol/water gives the monohydrazone (IX), which is cyclized with hotpolyphosphoric acid yielding the 4-hydroxycarbazole (X). Finally, this compound is condensed with the glycidyl 3-nitrophenylsulfonate (XI) by means of K2CO3 in refluxing acetone.

Drug Information Express,Drug R&D,Chemical Database,Patent Search.
Copyright © 2006-2026 Drug Future. All rights reserved.Contact Us