【药物名称】
化学结构式(Chemical Structure):
参考文献No.527420
标题:Synthesis and SAR of oxodiazole benzenesulfonamides as selective beta3 adrenergic receptor agonist antiobesity agents
作者:Biftu, T.; et al.
来源:217th ACS Natl Meet (March 21 1999, Anaheim) 1999,Abst MEDI 138
合成路线图解说明:

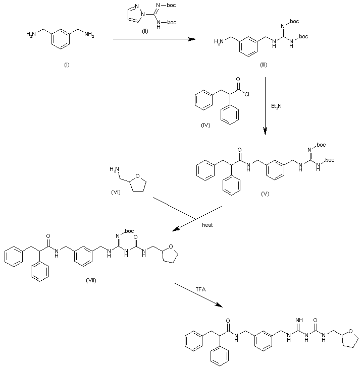
The reaction of m-xylene-alpha,alpha'-diamine (I) with N,N'-bis(tert-butoxycarbonyl)pyrazole-1-carboxamidine (II) in THF gives the protected guanidine (III), which is acylated at the free amino group with 2,3-diphenylpropionyl chloride (IV) and triethylamine in dichloromethane affording the amide (V). The condensation of (V) with tetrahydrofuran-2-ylmethylamine (VI) in refluxing THF affords the protected amidinourea (VII), which is finally treated with TFA in dichloromethane.

Drug Information Express,Drug R&D,Chemical Database,Patent Search.
Copyright © 2006-2026 Drug Future. All rights reserved.Contact Us