【药物名称】
化学结构式(Chemical Structure):
参考文献No.38662
标题:Nitrogen substd. imidazo[4,5-c]pyrazoles as corticotropin relesing hormone antagonists
作者:Beck, J.P.; Gilligan, P.J. (DuPont Pharmaceuticals Co.)
来源:EP 0937081; WO 9910350
合成路线图解说明:

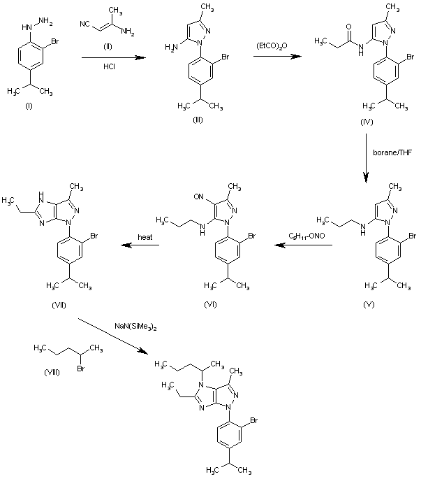
The cyclization of 2-bromo-4-isopropylphenylhydrazine (I) with 2-amino-2-propenenitrile (II) in refluxing 1N HCl gives 1-(2-bromo-4-isopropylphenyl)-3-methyl-1H-pyrrole-5-amine (III), which is acylated with propionic anhydride yielding the propionamide (IV). The reduction of (IV) with the complex borane/THF in THF affords the secondary amine (V), which is nitrosated with isoamyl nitrite in ethanol to give the nitroso compound (VI). The cyclization of (VI) in refluxing pyridine yields the imidazo[4,5-c]pyrrole (VII), which is finally alkylated with 2-bromopentane by means of sodium bis(trimethylsilyl)amide in hot DMF.

Drug Information Express,Drug R&D,Chemical Database,Patent Search.
Copyright © 2006-2026 Drug Future. All rights reserved.Contact Us