【药物名称】(-)-Laulimalide, Fijianolide B, Laulimalide
化学结构式(Chemical Structure):
参考文献No.605995
标题:Synthesis of the macrocyclic core of laulimalide
作者:Paterson, I.; De Savi, C.; Tudge, M.
来源:Org Lett 2001,3(2),213
合成路线图解说明:

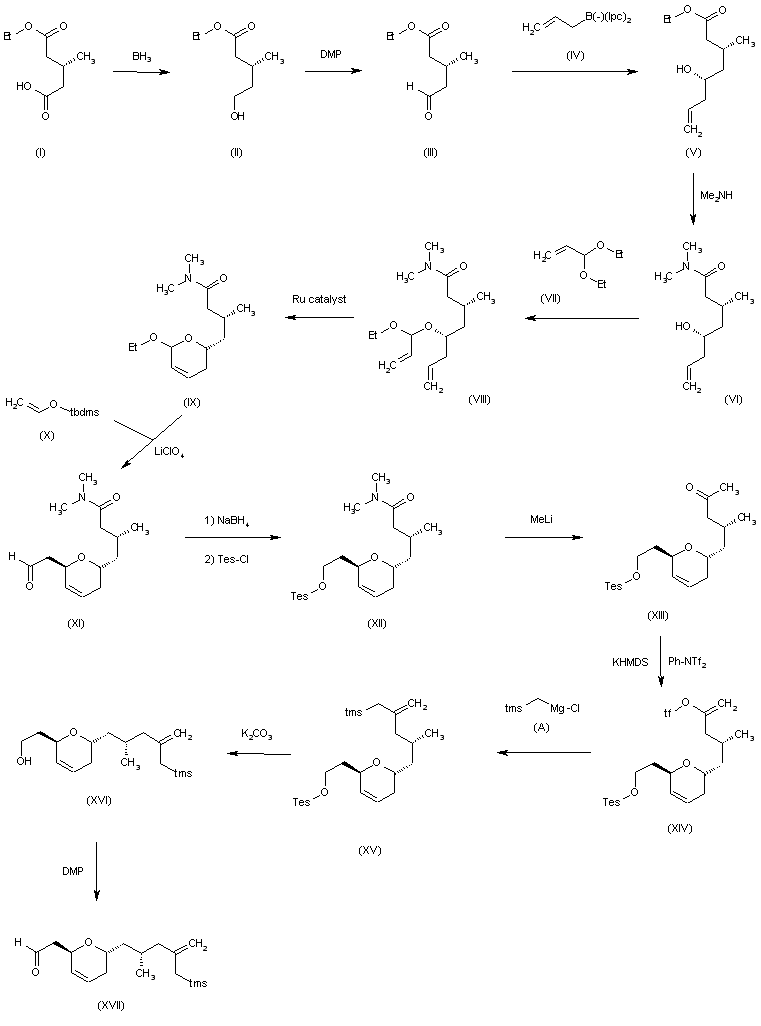
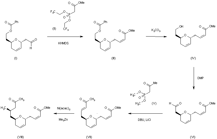
The butenoic ester intermediate (VIII) has been obtained as follows: The condensation of the known aldehyde (I) with phosphonate (II) by means of KHMDS in THF gives the unsaturated ester (III), which is selectively hydrolyzed at its benzoate group by means of K2CO3 in methanol to yield the ethanol derivative (IV). The oxidation of (IV) by means of DMP affords the acetaldehyde (V), which is condensed with the phosphorane (VI) by means of DBU and LiCl in acetonitrile to provide the methyl ketone (VII) (1). Finally, this compound is methylated by means of Me2Zn and Ni(acac)2 in ethyl ether to give the target butenoic ester intermediate (VIII)

参考文献No.659744
标题:Total synthesis of the microtubule-stabilizing agent (-)-laulimalide
作者:Paterson, I.; De Savi, C.; Tudge, M.
来源:Org Lett 2001,3(20),3149
合成路线图解说明:

The butenoic ester intermediate (VIII) has been obtained as follows: The condensation of the known aldehyde (I) with phosphonate (II) by means of KHMDS in THF gives the unsaturated ester (III), which is selectively hydrolyzed at its benzoate group by means of K2CO3 in methanol to yield the ethanol derivative (IV). The oxidation of (IV) by means of DMP affords the acetaldehyde (V), which is condensed with the phosphorane (VI) by means of DBU and LiCl in acetonitrile to provide the methyl ketone (VII) (1). Finally, this compound is methylated by means of Me2Zn and Ni(acac)2 in ethyl ether to give the target butenoic ester intermediate (VIII)

合成路线图解说明:

The intermediate 4-methyl-3,6-dihydro-2H-pyran-2(S)-carbaldehyde (XIII) has been obtained as follows: The cyclization of 2-(Tbdms-O)acetaldehyde (IX) with 1-methoxy-3-methylbutadiene (X) by means of a chiral Cr catalyst gives the chiral dihydropyran derivative (XI), which is desilylated and demethoxylated by means of triethylsilane, BF3/Et2O and HCl to yield the dihydropyran methanol derivative (XII). Finally, this compound is oxidized to the target intermediate 4-methyl-3,6-dihydro-2H-pyran-2(S)-carbaldehyde (XIII) by means of oxalyl chloride , DMSO and TEA

合成路线图解说明:

The intermediate octadienal derivative (XXXI) has been obtained as follows: The selective monosilylation of 3(R),4-dihydroxybutyric acid methyl ester (XIV) by means of Tbdms-Cl and imidazole in dichloromethane gives the terminal silyl ether (XV), which is treated with PmbOC(=NH)CCl3 and TfOH in ethyl ether to yield the fully protected compound (XVI). The reduction of the ester group of (XVI) by means of LiAlH4 in THF affords the butanol derivative (XVII), which is subjected to Dess-Martin oxidation to furnish the corresponding aldehyde (XVIII). The condensation of (XVIII) with phosphonate (XIX) by means of DIEA and LiCl in acetonitrile provides the hexenoic ester (XX), which is reduced with DIBAL to the corresponding unsaturated alcohol (XXI). The reaction of (XXI) with Tbdps-Cl and imidazole gives the silyl ether (XXII), which is selectively monodesilylated by means of TsOH in ethanol to yield the alcohol (XXIII). The Swern oxidation of (XXIII) affords the corresponding aldehyde (XXIV), which is methylated with MeMgCl to provide the secondary alcohol (XXV). The Swern oxidation of (XXXV) yields the methyl ketone (XXVI), which is condensed with the intermediate 4-methyl-3,6-dihydro-2H-pyran-2(S)-carbaldehyde (XIII) by means of (cHex)2BCl and TEA, followed by a treatment with MsCl and TEA to afford the octadienone (XXVII). The reduction of (XXVII) by means of Zn(BH4)2 in ethyl ether provides the octadienol (XXVIII), which is silylated with Tbdms-OTf and lutidine to give the silyl ether (XXIX). The selective monodeprotection of (XXIX) by means of TBAF in AcOH yields the octadienol (XXX), which is oxidized with DMP to afford the intermediate octadienal derivative (XXXI)

合成路线图解说明:

Synthesis of the target compound: The condensation of the butenoic ester intermediate (VIII) with the intermediate octadienal derivative (XXXI) by means of (+)-Ipc2BCl , TEA and H2O2 in ethyl ether gives the linear adduct (XXXII), which is silylated with Tbdms-OTf and lutidine to yield the fully protected intermediate (XXXIII). The reduction of the ester group of (XXXIII) with DIBAL gives the alcohol (XXXIV), which is oxidized with DMP and NaClO2 to yield the carboxylic acid (XXXV). The selective deprotection of the Pmb ether of (XXXV) by means of DDQ in dichloromethane affords the hydroxyacid (XXXVI), which is submitted to cyclization by means of DEAD and PPh3 in benzene to provide the macrolactone (XXXVII). The methylenation of the ketonic group of (XXXVII) by reaction with Zn, PbI2, TiCl4 and CH2I2 in THF gives the exomethylene derivative (XXXVIII), which is desilylated by treatment with HF and pyridine in THF to yield the immediate precursor (XXXIX). Finally, this compound is selectively epoxidized by reaction with (+)-DIPT, tBuOOH and Ti(OiPr)4 in dichloromethane to afford the target Laulimalide

参考文献No.671908
标题:Total synthesis of microtubule-stabilizing agent (-)-laulimalide
作者:Ghosh, A.K.; Wang, Y.; Kim, J.T.
来源:J Org Chem 2001,66(26),8973
合成路线图解说明:

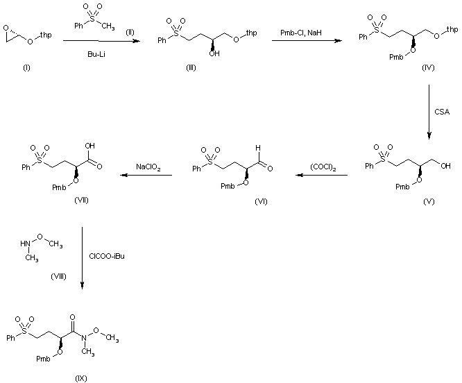
The intermediate carbaldehyde (VI) and Weinreb amide (IX) have been obtained as follows. The reaction of tetrahydropyranyl glycidol (I) with methyl phenylsulfone (II) by means of BuLi in THF gives the secondary alcohol (III), which is protected with Pmb-Cl and NaH in DMF to yield the diether (IV). Selective cleavage of the THP group of (IV) by means of CSA in methanol affords the primary alcohol (V), which is oxidized with (COCl)2 and DMSO in dichloromethane to provide the aldehyde (VI). Further oxidation of (VI) by means of NaClO2 in t-butanol gives the carboxylic acid (VII), which is finally condensed with N,O-dimethylhydroxylamine (VIII) by means of iso-butyl chloroformate in dichloromethane to yield the intermediate Weinreb amide (IX).

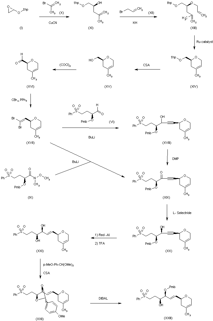
合成路线图解说明:

The intermediate phenyl sulfone (XXIII) has been obtained as follows. The reaction of tetrahydropyranyl glycidol (I) with isopropenyl bromide (X) by means of CuCN in THF gives the secondary alcohol (XI), which is treated with allyl bromide (XII) and KH in THF to yield the allyl ether (XIII). A ring closing metathesis reaction with (XIII) catalyzed by a Ru catalyst yields the protected dihydropyran derivative (XIV), which is treated with CSA in methanol to afford the carbinol (XV). The oxidation of (XV) with (COCl)2 and DMSO in dichloromethane provides the carbaldehyde (XVI), which is treated with CBr4 and PPh3 in dichloromethane to give the dibromovinyl derivative (XVII). The condensation of (XVII) with the intermediate aldehyde (VI) by means of BuLi in THF yields the propargyl alcohol derivative (XVIII), which is oxidized with DMP to the corresponding acetylenic ketone (XIX). Alternatively, acetylenic ketone (XIX) can also be obtained by condensation of dibromovinyl derivative (XVII) with the intermediate Weinreb amide (IX) by means of BuLi in THF. The enantioselective reduction of ketone (XIX) with L-Selectride in THF affords the chiral propargyl alcohol (XX), which is reduced with Red-Al and treated with TFA to provide the trans-allylic alcohol (XXI). The reaction of the diol (XXI) with Pmp-CH(OEt)2 and CSA gives the acetal (XXII), which is finally reduced with DIBAL in dichloromethane to yield the intermediate Pmb-protected phenyl sulfone (XXIII).

合成路线图解说明:

The reaction of the chiral diol (XXIV) first with MsCl and TEA, and then with NaCN gives the chiral butyronitrile (XXV), which is reduced with DIBAL in dichloromethane to yield the butyraldehyde (XXVI). The reaction of (XXVI) with allyl tributyl tin (XXVII), (S)-BINOL and Ti(OiPr)4 affords the secondary alcohol (XXVIII), which is condensed with acetal (XXIX) by means of PPTS to provide the diene (XXX). A ring closing metathesis reaction in (XXX) by means of a Ru catalyst gives the dihydropyran derivative (XXXI). Alternatively, the reaction of (XXVIII) with propenoyl chloride (XXXII) by means of TEA gives the diene (XXXIII), which is submitted to a ring closing metathesis reaction as before to yield the dihydropyranone (XXXIV). The reduction of (XXXIV) with DIBAL, followed by treatment with CSA and ethanol affords the dihydropyran derivative (XXXV). The reaction of both acetals (XXXI) or (XXXV) with CH2=CH-O-Tbdms (XXXVI) in the presence of Montmorillonite as Lewis acid, followed by a treatment with NaBH4 provides the dihydropyran (XXXVII) as a single isomer.

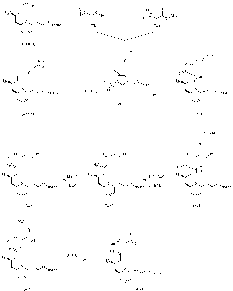
合成路线图解说明:

The cleavage of the benzyl ether of (XXXVII) by means of Li/NH3, followed by treatment with I2 and PPh3 gives the iodide derivative (XXXVIII), which is condensed with tetrahydrofuranone (XXXIX) (obtained by reaction of epoxide (XL) with methyl 2-(phenylsulfonyl)acetate (XLI) and NaH) by means of NaH to afford the adduct (XLII). The reductive cleavage of the tetrahydrofuranone (XLII) by means of Red-Al provides the diol (XLIII), which is treated with Ph-COCl and Na/Hg to give the methylene derivative (XLIV). The reaction of (XLIV) with Mom-Cl and DIEA yields the Mom-ether compound (XLV), which is selectively deprotected by means of DDQ to afford the primary alcohol (XLVI). The oxidation of (XLVI) with oxalyl chloride provides the carbaldehyde (XLVII).

合成路线图解说明:

The condensation of carbaldehyde (XLVII) with the intermediate Pmb-protected phenyl sulfone (XXIII) by means of BuLi, Ac2O and Na/Hg gives the linear adduct (XLVIII), which is protected at its free OH group by means of DHP and PPTS, and selectively deprotected with TBAF yielding the primary alcohol (XLIX). The oxidation of (XLIX) with DMP affords the acetaldehyde derivative (L), which is condensed with CBr4 and PPh3 to provide the dibromovinyl derivative (LI). The condensation of (LI) with methyl chloroformate (LII) by means of BuLi gives the acetylenic ester (LIII), which is treated with CSA to eliminate the THP protecting group and yield the hydroxy ester (LIV). The hydrolysis of the ester (LIV) with LiOH in THF/water affords the hydroxyacid (LV).

合成路线图解说明:

The cyclization of the hydroxyacid (LV) by means of 2,4,6-trichlorobenzoyl chloride and TEA in THF/benzene gives the acetylenic macrolactone (LVI), which is reduced with Lindlar catalyst and 1-hexene in ethyl acetate to yield the cis-macrolactone (LVII). The Mom-protecting group of (LVII) is selectively removed by means of PPTS in tert-butanol to afford the allylic alcohol (LVIII), which is submitted to a Sharpless epoxidation with t-BuOOH, (+)-DET and Ti(OiPr)4 in dichloromethane providing the epoxide (LIX). Finally, the Pmb-protecting group of (LIX) is removed by means of DDQ in dichloromethane to furnish the target Laulimalide.

参考文献No.679596
标题:Total synthesis of the antitumor agent (-)-laulimalide
作者:Mulzer, J.; Hanbauer, M.
来源:Tetrahedron Lett 2002,43(18),3381
合成路线图解说明:

The synthesis of the 1,3-dioxane intermediate (XIII) has been performed as follows: The reaction of 2(S)-hydroxycyclopentanone (I) with Tbdps-Cl and imidazole in DMF gives the silyl ether (II), which is condensed with the phosphonate (III) by means of BuLi in THF to yield the new phosphonate (IV) after silylation with Tes-Cl and LDA. The Horner-Wadsworth-Emmons olefination of carbaldehyde (V) with phosphonate (IV) by means of LiCl and TEA in THF affords the silylated ketone (VI), which is reduced with NaBH4/CeCl3 and protected with Mom-Cl and DIEA to provide the dihydropyran derivative (VII). The cleavage of the Tes protecting group by means of TsOH, followed by oxidation of the resulting alcohol with SO3/pyridine in DMSO/dichloromethane gives the aldehyde (VIII). A new olefination reaction of aldehyde (VIII) with phosphorane (IX) by means of NaH in THF yields the methoxyamide (X), which is reduced with DIBAL in THF to afford the unsaturated aldehyde (XI). Finally, this aldehyde is treated with (2R,4R)-pentanediol (XII) and montmorillonite K-10 in hot toluene to provide the target 1,3-dioxane intermediate (XIII).

合成路线图解说明:

The synthesis of the dihydropyran intermediate (XX) has been performed as follows: The reduction of the known aldehyde (XIV) with NaBH4 in methanol, followed by reaction with Tbdms-Cl and imidazole in DMF gives the silyl ether (XV), which is selectively deprotected with DDQ in dichloromethane and treated with TsCl and TEA to yield the tosylate (XVI). The reaction of (XVI) with NaCN in hot DMSO, followed by reaction with MeLi in ethyl ether affords the methyl ketone (XVII), which is treated with KHMDS and Ph-NTf2 in THF to provide the enol triflate (XVIII). Finally, this compound is treated with Tms-CH2-MgCl , Pd(PPh3)4 and LiCl in ethyl ether to furnish the target dihydropyran intermediate (XX).

合成路线图解说明:

Synthesis of the target compound: The condensation of the 1,3-dioxane intermediate (XIII) with the target dihydropyran intermediate (XX) by means of TiCl4 and TEA in dichloromethane gives the adduct (XXI), whose OH group is oxidized by means of DMP to yield the ketone (XXII). Elimination of the chiral auxiliary of (XXII) by means of K2CO3 in methanol, followed by protection with Mom-Cl and DIEA in DMF affords the fully protected compound (XXIII). Both Tbdms and Tbdps protecting groups of (XXIII) were exchanged for Tes groups by cleavage with TBAF, followed by reaction with Tes-Cl and pyridine to provide compound (XXIV). Selective Swern oxidation of the primary silyl ether group of (XXIV) gives aldehyde (XXV), which is condensed with phosphonate (XXVI) by means of KHMDS in THF to yield the trimethylsilylethyl ester (XXVII). The desilylation of (XXVII) by means of TBAF in THF affords the hydroxyacid (XXVIII), which is submitted to a macrocyclization by means of 2,4,6-trichlorobenzoyl chloride to provide the macrolactone (XXIX). Finally, this compound is deprotected by a treatment with Me2BBr and submitted to a selective Sharpless epoxidation to afford the target Laulimalide

参考文献No.687315
标题:Synthesis of (-)-laulimalide: An agent for microtubule stabilization
作者:Williams, D.R.; et al.
来源:Tetrahedron Lett 2002,43(27),4841
合成路线图解说明:

Synthesis of the acetylenic dihydropyran intermediate (VII): The reaction of the chiral oxazolinone (I) with allylmagnesium bromide (II) by means of CuBr, BF3/Et2O and Mg(OMe)2, followed by ozonolysis with O3 in dichloromethane gives the aldehyde (III), which is condensed with the enol ether (IV) by means of a chiral Cr catalist to yield the dihydropyranone(V). The reduction of (V) with NaBH4 and CeCl3, followed by acylation with Ac2O affords the acetoxydihydropyran derivative (VI). Which is finally condensed with the allenic tributyl tin compound (VII) and trimethylsilylmethyl magnesium chloride in THF to provide the target acetylenic dihydropyran intermediate (VIII).

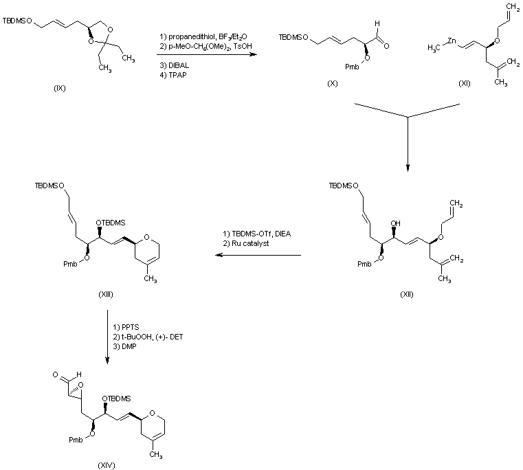
合成路线图解说明:

Synthesis of the aldehydic epoxide intermediate (XIV): The reaction of the protected diol (IX) with propanedithiol and BF3/Et2O, followed by reation with p-MeO-C6H4CH(OMe)2 and TsOH, reductive cleavage with DIBAL, and final oxidation with TPAP gives the chiral aldeyde (X). The condensation of (X) with the organozinc derivative (XI) in dichloromethane gives the secondary alcohol (XII), which is silylated by means of TBDMS-OTf and DIEA and submitted to a ring closing metathesis reaction catalyzed by a Ru catalyst yielding the dihydropyran derivative (XIII). Finally this compound is desilylated and epoxidized by means of PPTS ant tBu-OOH in the presence of (+)-DET, and oxidized with DMP to afford the target the aldehydic epoxide intermediate (XIV).

合成路线图解说明:

Synthesis of the target Laulimalide: The condensation of the acetylenic dihydropyran intermediate (VIII) with the aldehydic epoxide intermediate (XIV) by means of BF3/Et2O, followed by silylation with TBDMS-OTf and DIEA gives the epoxide adduct (XV). The selective deprotection of (XV) with DDQ followed by oxidation with MnO2 and NaClO2 to yields the hydroxyacid (XVI), which is submitted to a macrocyclization by means of 2,4,6-trichlorobenzoyl chloride and DMAP to afford the acetylenic macrolactone (XVII). The selective monoreduction ossf the triple bond of (XVII) by means of H2 over Lindlar catalyst in the presence of 1- hexane and quinoline provides the silylated precursor (XVIII), which is finally deprotected by means od TBAF as usual to furnish the target Laulimalide.

参考文献No.732985
标题:Total synthesis of the microtubule stabilizing antitumor agent laulimalide and some nonnatural analogues: The power of Sharpless' asymmetric epoxidation
作者:Ahmed, A.; Hoegenauer, E.K.; Enev, V.S.; Hanbauer, M.; Kaehlig, H.; Ohler, E.; Mulzer, J.
来源:J Org Chem 2003,68(8),3026
合成路线图解说明:

The synthesis of the dihydropyranyl acetaldehyde intermediate (XVII) has been obtained as follows: The reduction of the pentanedioic acid monoethyl ester (I) with BH3 gives the hydroxyester (II), which is oxidized with DMP to yield the aldehyde (III). The reaction of (III) with the chiral borane (IV) affords the 5-hydroxyoctenoic ester (V), which is treated with dimethylamine to provide the corresponding amide (VI). The reaction of (VI) with propenal diethylacetal (VII) gives ether (VIII), which is submitted to a ring closing metathesis reaction catalyzed by a Ru catalyst to yield the dihydropyran derivative (IX). The reaction of (IX) with tert-butyldimethylsilyloxy ethylene (X) catalyzed by LiClO4 affords the dihydropyranyl acetaldehyde (XI), which is reduced with NaBH4 and protected with Tes-Cl to provide the butyramide (XII). The reaction of (XII) with MeLi gives the pentanone (XIII), which is treated with Ph-NTf2 and KHMDS to yield the enol triflate (XIV). The reaction of (XIV) with Tms-CH2-MgCl affords the methylene derivative (XV), which is selectively desilylated with K2CO3 to provide the dihdyropyranyl ethanol compound (XVI). Finally, this compound is oxidized with DMP to obtain the target dihydropyranyl acetaldehyde intermediate (XVII).

合成路线图解说明:

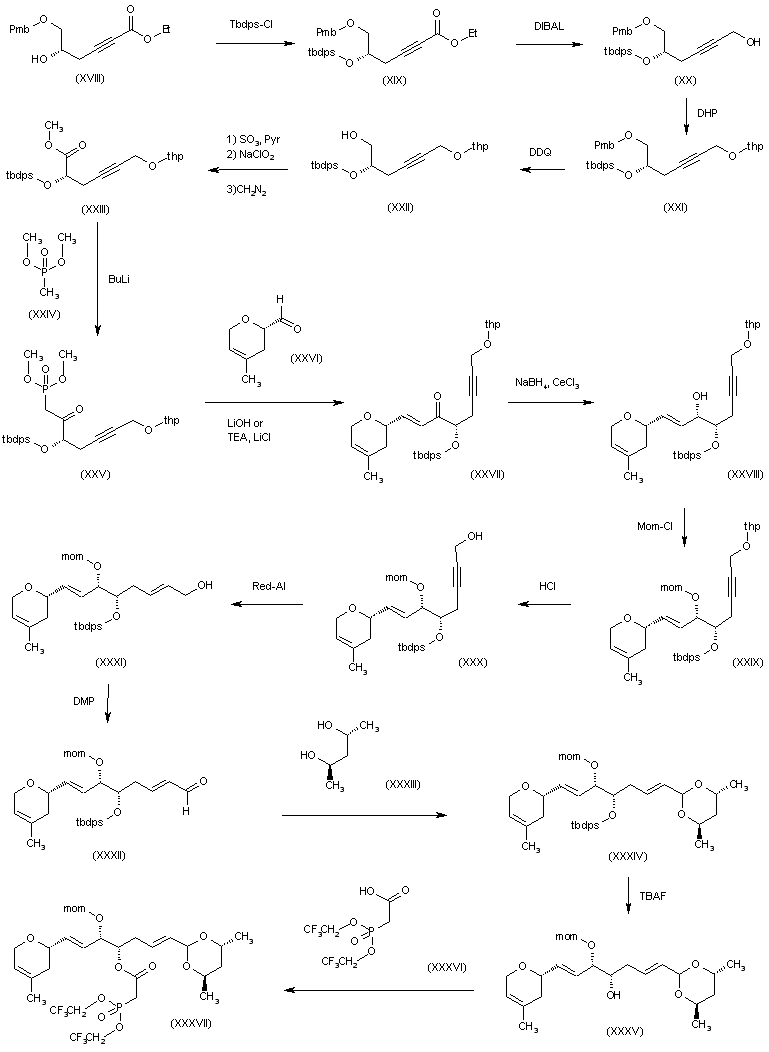
The synthesis of the phosphonate intermediate (XXXVII) has been performed as follows: The reaction of the 2-hexynoic ester (XVIII) with Tbdps-Cl gives the silyl ether (XIX), which is reduced with DIBAL to yield the propargyl alcohol (XX). The protection of (XX) by reaction with dihydropyran affords the tetrahydropyranyl ether (XXI), which is selectively deprotected by means of DDQ to provide the acetylenic alcohol (XXII). The oxidation of (XXII) by means of SO3/pyridine, and NaClO2, followed by methylation with diazomethane gives the acetylenic ester (XXIII), which is condensed with phosphonate (XXIV) by means of BuLi to yield the chiral phosphonate (XXV). The condensation of (XXV) with 4-methyl-3,6-dihydro-2H-pyran-2(S)-carbaldehyde (XXVI) affords the ketonic adduct (XXVII), which is reduced with NaBH4 and CeCl3 to provide the secondary alcohol (XXVIII). The reaction of (XXVIII) with Mom-Cl gives the corresponding Mom-ether (XXIX), whose tetrahydropyranyl group is hydrolyzed by means of HCl to yield the primary alcohol (XXX). The selective monoreduction of the acetylenic triple bond of (XXX) by means of Red-Al affords the octadienyl alcohol (XXXI), which is oxidized with DMP to the expected aldehyde (XXXII). The reaction of (XXXII) with (R,R)-pentane-2,4-diol (XXXIII) affords the propylene ketal (XXXIV), which is desilylated by means of TBAF to provide the secondary alcohol (XXXV). The condensation of (XXXV) with the phosphonoacetic acid (XXXVI) furnishes the corresponding ester (XXXVII).

合成路线图解说明:

The condensation of the dihydropyranyl acetaldehyde intermediate (XVII) with the phosphonate (XXXVII) by means of KHMDS gives the open chain adduct (XXXVIII), which is cyclized by means of EtAlCl2 in dichloromethane to yield the macrolactone (XXXIX). The oxidation of the secondary OH group of (XXXIX) by means of DMP affords the ketone (XL), which is treated with TsOH in chloroform to provide the alcohol (XLI). The deprotection of the Mom-protecting group by means of Me2BBr in dichloromethane gives the dihydroxylated macrolactone (XLII), which is finally epoxidized by means of (+)-DIPT, t-BuOOH and Ti(i-PrO)4 to yield the target Laulimalide.

参考文献No.736506
标题:A de novo enantioselective total synthesis of (-)-laulimalide
作者:Nelson, S.G.; Cheung, W.S.; Kassick, A.J.; Hilfiker, M.A.
来源:J Am Chem Soc 2002,124(46),13654
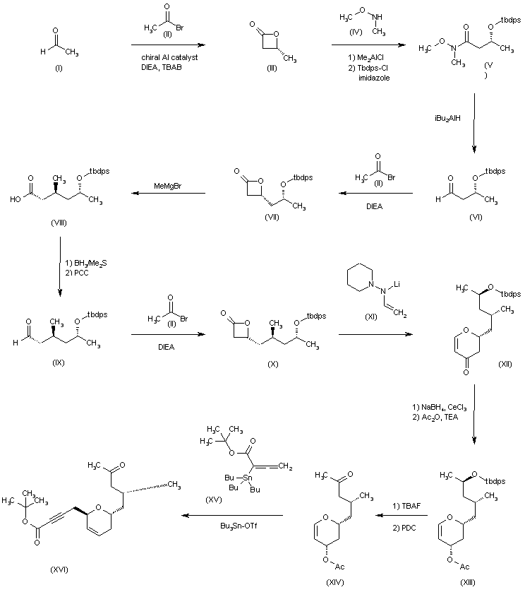
合成路线图解说明:

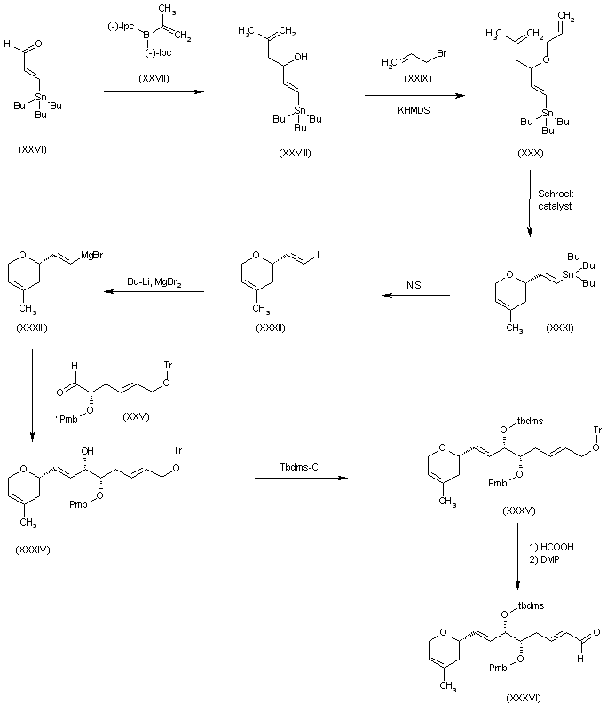
The acetylenic ester intermediate (XVI) has been obtained as follows. The reaction of acetaldehyde (I) with acetyl bromide (II) by means of a chiral Al catalyst gives lactone (III), which is condensed with N,O-dimethylhydroxylamine (IV) to yield the Weinreb amide (V). The reduction of (V) with iBu2AlH affords the chiral butyraldehyde (VI), which is condensed with acetyl bromide (II) and DIEA to provide the lactone (VII). The reaction of (VII) with methylmagnesium bromide gives the chiral pentanoic acid (VIII), which is reduced with BH3/Me2S and reoxidated with PCC to yield the aldehyde (IX). The condensation of (IX) with acetyl bromide (II) and DIEA affords the lactone (X), which is treated with the lithium salt (XI) to provide the dihydropyranone (XII). The reduction of (XII) with NaBH4 and CeCl3, followed by reaction with Ac2O and TEA gives the acetoxy derivative (XIII), which is desilylated with TBAF and oxidized with PDC to yield the methyl ketone (XIV). Finally, the condensation of (XIV) with the allenic tributyl tin derivative (XV) by means of Bu3Sn-OTf in dichloromethane affords the target acetylenic ester intermediate (XVI).

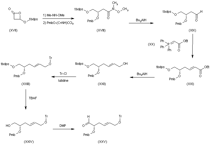
合成路线图解说明:

The chiral unsaturated aldehyde intermediate (XXV) has been obtained as follows. The reaction of the chiral lactone (XVII) first with N,O-dimethylhydroxylamine and then with PmbO-(C=NH)CCl3 gives the Weinreb amide (XVIII), which is reduced with Bu2AlH to yield the butyraldehyde (XIX). The condensation of (XIX) with phosphorane (XX) affords the unsaturated ester (XXI), which is reduced with Bu2AlH to provide the unsaturated alcohol (XXII). The reaction of (XXII) with TrCl and lutidine gives the trityl ether (XXIII), which is desilylated by means of TBAF to yield the primary alcohol (XXIV). Finally, this compound is oxidized with DMP to afford the desired unsaturated aldehyde intermediate (XXV).

合成路线图解说明:

Synthesis of the target Laulimalide. The condensation of the tin derivative (XXVI) with the chiral isopropenyl boron derivative (XXVII) gives the secondary alcohol (XXVIII), which is alkylated with allyl bromide (XXIX) and KHMDS to yield the allyl ether (XXX). The ring closing metathesis reaction in (XXX) by means of Schrock catalyst affords the dihydropyranyl stannane (XXXI), which is treated with N-iodosuccinimide to provide the iodovinyl compound (XXXII). The reaction of (XXXII) with BuLi and MgBr2 gives the vinylmagnesium derivative (XXXIII), which is condensed with the unsaturated aldehyde intermediate (XXV) to yield the olefinic alcohol (XXXIV). The reaction of (XXXIV) with Tbdms-Cl and imidazole affords the silyl ether (XXXV), which is selectively deprotected with formic acid, and oxidated with DMP to provide the chiral unsaturated aldehyde (XXXVI).

合成路线图解说明:

The diastereoselective condensation of the unsaturated aldehyde intermediate (XXXVI) with the acetylenic ester intermediate (XVI) by means of a chiral boron catalyst and TEA gives the aldol adduct (XXXVII), which is treated with Tbdms-Cl and imidazole to yield the silyl ether (XXXVIII). The stepwise deprotection of (XXXVIII) first with DDQ and then with Tms-OTf affords the acetylenic hydroxyacid (XXXIX), which is cyclized by means of 2,4,6-trichlorobenzoyl chloride and DIEA to provide the macrolactone (XL). The triple bond hydrogenation under Lindlar conditions (H2, Pd/CaCO3) gives the expected Z-alkene derivative (XLI). The reaction of the ketone group of (XLI) with CH2I2, Zn, PbCl2 and TiCl4 yields the methylenated compound (XLII), which is treated with HF and pyridine to eliminate the silyl protecting groups and afford the precursor (XLIII). Finally, compound (XLIII) is diastereoselectively epoxidated under Sharpless conditions (t-BuOOH, (+)-DIPT, and Ti(OiPr)4) to provide the target Laulimalide.

Drug Information Express,Drug R&D,Chemical Database,Patent Search.
Copyright © 2006-2026 Drug Future. All rights reserved.Contact Us