【药物名称】
化学结构式(Chemical Structure):
参考文献No.34585
标题:Amidinohydrazones as protease inhibitors
作者:Soll, R.M.; Lu, T.; Fedde, C.L.; Tomczuk, B.E.; Illig, C. (3-Dimensional Pharmaceuticals, Inc.)
来源:EP 0906091; JP 2000507588; US 5891909; WO 9736580
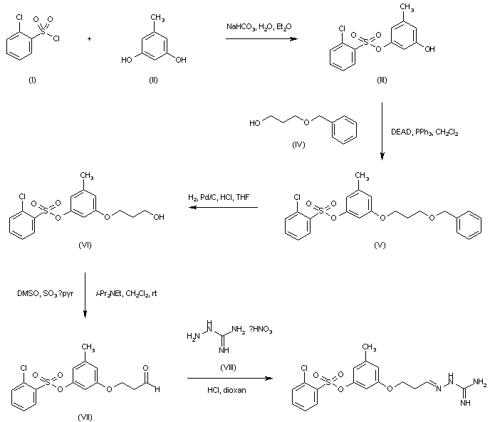
合成路线图解说明:

Orcinol (I) is first derivatized to (III) by reaction with sulfonyl chloride (II) in a mixture of aqueous NaHCO3 (sat) and Et2O. Monosulfonate (III) undergoes Mitsunobu reaction with monobenzylated diol (IV) in the presence of PPh3 and DEAD in dichloromethane to yield derivative (V), which is then debenzylated by hydrogenolysis over Pd/C in MeOH, or in THF/HCl/dioxane, to afford (VI). Alcohol (VI) is oxidized with SO3穚yr complex in DMSO/dichloromethane in the presence of DIEA to provide aldehyde (VIII), which finally reacts with aminoguanidine nitrate in EtOH in the presence of HCl/dioxane.

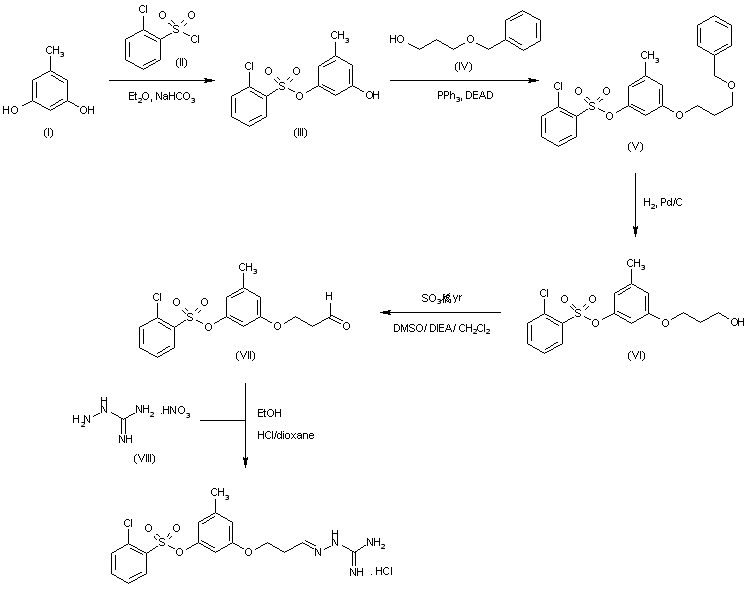
合成路线图解说明:

2-Chlorobenzenesulfonyl chloride (I) was coupled to orcinol (II) to give sulfonate (III). Subsequent condensation of (III) with 3-benzyloxypropanol (IV) under Mitsunobu conditions afforded ether (V). After hydrogenolytic deprotection of the benzyl group, Swern oxidation of the resulting alcohol (VI) with DMSO and SO3-pyridine complex provided aldehyde (VII). The title amidinohydrazone was then obtained by treatment of (VII) with aminoguanidine nitrate (VIII).

参考文献No.38776
标题:Aminoguanidines and alkoxyguanidines as protease inhibitors
作者:Tomczuk, B.E.; Stagnaro, T.P.; Fedde, C.L.; Lu, T.; Markotan, T.P.; Illig, C.R.; Soll, R.M. (3-Dimensional Pharmaceuticals, Inc.)
来源:EP 0944590; WO 9823565
合成路线图解说明:

2-Chlorobenzenesulfonyl chloride (I) was coupled to orcinol (II) to give sulfonate (III). Subsequent condensation of (III) with 3-benzyloxypropanol (IV) under Mitsunobu conditions afforded ether (V). After hydrogenolytic deprotection of the benzyl group, Swern oxidation of the resulting alcohol (VI) with DMSO and SO3-pyridine complex provided aldehyde (VII). The title amidinohydrazone was then obtained by treatment of (VII) with aminoguanidine nitrate (VIII).

Drug Information Express,Drug R&D,Chemical Database,Patent Search.
Copyright © 2006-2026 Drug Future. All rights reserved.Contact Us