【药物名称】
化学结构式(Chemical Structure):
参考文献No.32942
标题:Treatment of human prostate cancer with spermine
作者:Zetter, B.R.; Smith, R. (Children's Medical Center Corp.)
来源:WO 9711691
合成路线图解说明:

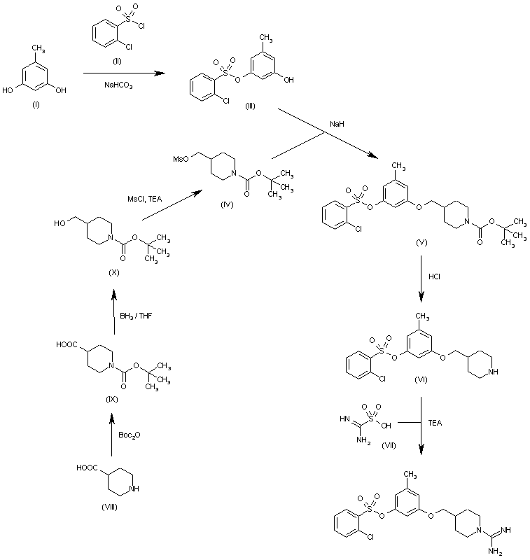
The monosulfonation of orcinol (I) with 2-chlorobenzenesulfonyl chloride (II) in ethyl ether/aqueous NaHCO3 gives the monosulfonate (III), which is condensed with 4-(methanesulfonyloxymethyl)piperidine-1-carboxylic acid tert-butyl ester (IV) by means of NaH in DMF to yield the aryl ether (V). The deprotection of (V) with 4N HCl in dioxane affords the piperidine (VI), which is finally treated with amidinosulfonic acid (VII) and TEA in DMF. The 4-(methanesulfonyloxymethyl)piperidine-1-carboxylic acid tert-butyl ester (IV) has been obtained as follows: The reaction of piperidine-4-carboxylic acid (VIII) with Boc2O and NaHCO3 in dioxane/water gives the protected piperidine (IX), which is reduced at the carboxyl group by means of BH3/THF yielding the carbinol (X). Finally, this compound is mesylated with MsCl and TEA in dichloromethane to afford the target intermediate.

合成路线图解说明:

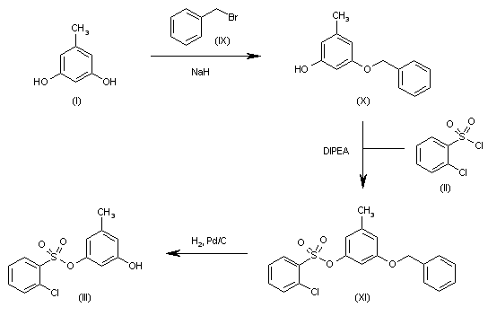
Alternatively, the monosulfonate (III) can also be obtained as follows: The benzylation of orcinol (I) with benzyl bromide (IX) and NaH in DMF gives the monoether (X), which is sulfonated with 2-chlorobenzenesulfonyl chloride (II) and DIPEA in CH2Cl2 affording the protected sulfonate (XI). Finally, this compound is deprotected by hydro-genation with H2 over Pd/C in THF to furnish the target monosulfonate (III).

参考文献No.562787
标题:Structure-activity and crystallographic analysis of a new class of non-amide-based thrombin inhibitor
作者:Lu, T.; Soll, R.M.; Illig, C.R.; Bone, R.; Murphy, L.; Spurlino, J.; Salemme, F.R.; Tomczuk, B.E.
来源:Bioorg Med Chem Lett 2000,10(1),79
合成路线图解说明:

The monosulfonation of orcinol (I) with 2-chlorobenzenesulfonyl chloride (II) in ethyl ether/aqueous NaHCO3 gives the monosulfonate (III), which is condensed with 4-(methanesulfonyloxymethyl)piperidine-1-carboxylic acid tert-butyl ester (IV) by means of NaH in DMF to yield the aryl ether (V). The deprotection of (V) with 4N HCl in dioxane affords the piperidine (VI), which is finally treated with amidinosulfonic acid (VII) and TEA in DMF. The 4-(methanesulfonyloxymethyl)piperidine-1-carboxylic acid tert-butyl ester (IV) has been obtained as follows: The reaction of piperidine-4-carboxylic acid (VIII) with Boc2O and NaHCO3 in dioxane/water gives the protected piperidine (IX), which is reduced at the carboxyl group by means of BH3/THF yielding the carbinol (X). Finally, this compound is mesylated with MsCl and TEA in dichloromethane to afford the target intermediate.

Drug Information Express,Drug R&D,Chemical Database,Patent Search.
Copyright © 2006-2026 Drug Future. All rights reserved.Contact Us