【药物名称】
化学结构式(Chemical Structure):
参考文献No.38778
标题:Benzothiazo and related heterocyclic group-containing cysteine and serine protease
作者:Bihovsky, R.; Wells, G.J.; Tao, M. (Cephalon, Inc.)
来源:WO 9821186
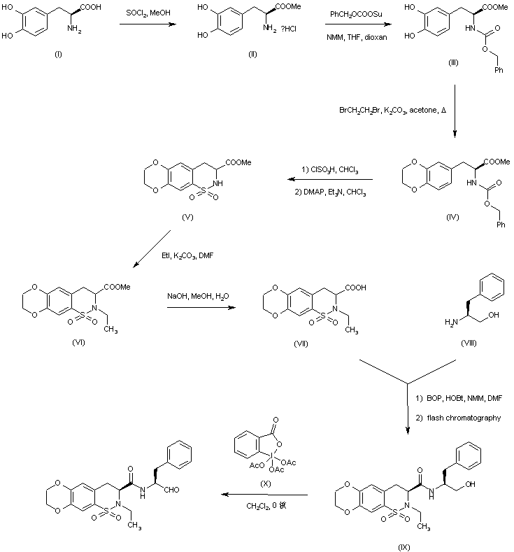
合成路线图解说明:

L-DOPA (I) was esterified by means of MeOH and SOCl2, and the resulting aminoester (II) was protected with benzyloxycarbonyloxy succinimide to give carbamate (III). Further reaction of (III) with 1,2-dibromoethane produced the cyclic diether derivative (IV). Chlorsulfonylation of (IV), followed by basic treatment with DMAP and Et3N gave rise to the benzothiazine (V). After N-alkylation of (V) with iodoethane and K2CO3, basic hydrolysis of the resulting methyl ester (VI) provided carboxylic acid (VII). This was coupled to L-phenylalaninol (VIII) using benzotriazol-1-yloxy-tris(dimethylamino)phosphonium hexafluorophosphate (BOP) and 1-hydroxybenzotriazole (HOBt) to afford the corresponding amide as a diastereomeric mixture, which was separated by flash chromatography. The required (S,S)-diastereoisomer (IX) was then oxidized to the title aldehyde using Dess-Martin periodinane reagent.

参考文献No.635797
标题:1,2-Benzothiazine 1,1-dioxide P2-P3 peptide mimetic aldehyde calpain I inhibitors
作者:Wells, G.J.; Tao, M.; Josef, K.A.; Bihovsky, R.
来源:J Med Chem 2001,44(21),3488
合成路线图解说明:

L-DOPA (I) was esterified by means of MeOH and SOCl2, and the resulting aminoester (II) was protected with benzyloxycarbonyloxy succinimide to give carbamate (III). Further reaction of (III) with 1,2-dibromoethane produced the cyclic diether derivative (IV). Chlorsulfonylation of (IV), followed by basic treatment with DMAP and Et3N gave rise to the benzothiazine (V). After N-alkylation of (V) with iodoethane and K2CO3, basic hydrolysis of the resulting methyl ester (VI) provided carboxylic acid (VII). This was coupled to L-phenylalaninol (VIII) using benzotriazol-1-yloxy-tris(dimethylamino)phosphonium hexafluorophosphate (BOP) and 1-hydroxybenzotriazole (HOBt) to afford the corresponding amide as a diastereomeric mixture, which was separated by flash chromatography. The required (S,S)-diastereoisomer (IX) was then oxidized to the title aldehyde using Dess-Martin periodinane reagent.

Drug Information Express,Drug R&D,Chemical Database,Patent Search.
Copyright © 2006-2026 Drug Future. All rights reserved.Contact Us