【药物名称】KUL-7211
化学结构式(Chemical Structure):
参考文献No.38381
标题:Aminoethylphenoxyacetic acid derivs. and drugs for pain remission and calculi removal promotion in urinary lithiasis
作者:Tamai, T.; Akahane, M.; Mukaiyama, H.; Muranaka, H.; Tanaka, N.; Sato, M.; Hirabayashi, A. (Kissei Pharmaceutical Co., Ltd.)
来源:EP 1002791; WO 9905090
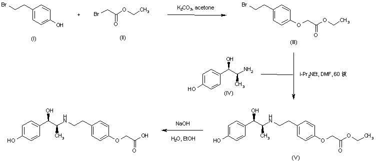
合成路线图解说明:

The condensation of 4-(2-bromoethyl)phenol (I) with ethyl bromoacetate (II) in the presence of K2CO3 produced the phenoxyacetate (III). This was then condensed with (1R,2S)-2-amino-1-(4-hydroxyphenyl)-propan-1-ol (IV) to give adduct (V). the ethyl ester group of (V) was finally hydrolyzed with NaOH to yield the title carboxylic acid.

Drug Information Express,Drug R&D,Chemical Database,Patent Search.
Copyright © 2006-2026 Drug Future. All rights reserved.Contact Us