【药物名称】
化学结构式(Chemical Structure):
参考文献No.530551
标题:Dibasic benzo[b]thiophene derivatives as a novel class of active site directed thrombin inhibitors: 4. SAR studies on the conformationally restricted C3-side chain of hydroxybenzo[b]thiophenes
作者:Takeuchi, K.; Kohn, T.J.; Sall, D.J.; Denney, M.L.; McCowan, J.R.; Smith, G.F.; Gifford-Moore, D.S.
来源:Bioorg Med Chem Lett 1999,9(5),759
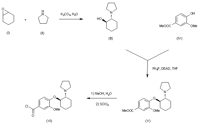
合成路线图解说明:

Opening of cyclohexene oxide (I) with pyrrolidine (II) in aqueous K2CO3 yielded the racemic trans-2-(1-pyrrolidinyl)cyclohexanol (III). Subsequent Mitsunobu coupling of (III) with phenol (IV) in the presence of DEAD and PPh3 produced ether (V). The intermediate acid chloride (VI) was then prepared by ester hydrolysis, followed by treatment with SOCl2.

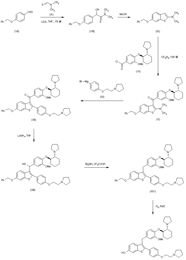
合成路线图解说明:

Condensation of 4-(benzyloxy)benzaldehyde (VII) with N,N-dimethyl thioformamide (A) in the presence of LDA at -78 C generated the alpha-hydroxythioamide (VIII), which was cyclized by means of methanesulfonic acid to afford benzothiophene (IX). Friedel-Crafts acylation of (IX) with acid chloride (VI) upon heating in chlorobenzene yielded the 3-acyl benzothiophene (X). Subsequent displacement of the dimethylamino group of (X) by Grignard reagent (XI) produced the 2-aryl benzothiophene (XII). Deoxygenation of the keto group of (XII) was accomplished by the sequence of reduction to alcohol (XIII) with LiAlH4, followed by treatment with Et3SiH in trifluoroacetic acid to give (XIV). The benzyl ether of (XIV) was finally deprotected by hydrogenation over Pd/C to furnish the title compound.

Drug Information Express,Drug R&D,Chemical Database,Patent Search.
Copyright © 2006-2026 Drug Future. All rights reserved.Contact Us