【药物名称】L-766892
化学结构式(Chemical Structure):
参考文献No.28155
标题:Substd. sulfonamides as selective beta3 agonists for the treatment of diabetes and obesity
作者:Fisher, M.H.; Naylor, E.M.; Ok, D.; Weber, A.E.; Shih, T.; Ok, H. (Merck & Co., Inc.)
来源:EP 0757674; JP 1997512275; US 5541197; US 5561142; WO 9529159
合成路线图解说明:

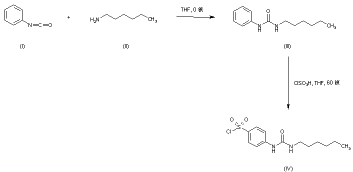
The intermediate sulfonyl chloride (IV) was prepared by condensation of phenyl isocyanate (I) with n-hexylamine (II), followed by chlorosulfonation of the resulting hexyl phenyl urea (III) with ClSO3H at 60 C.

合成路线图解说明:

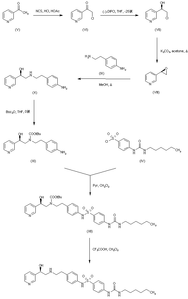
Chlorination of 3-acetylpyridine (V) with N-chlorosuccinimide in HCl-AcOH gave (chloroacetyl)pyridine (VI). Subsequent enantioselective reduction of (VI) using (-)-B-chlorodiisopinocampheylborane yielded (R)-chlorohydrin (VII), which was cyclized to pyridyloxirane (VIII) with K2CO3 in boiling acetone. Opening of epoxide (VIII) with 4-aminophenethylamine (IX) produced amino alcohol (X). After protection as the tert-butyl carbamate (XI), coupling with sulfonyl chloride (IV) furnished sulfonamide (XII). Finally, Boc deprotection of (XII) using TFA produced the title compound.

合成路线图解说明:

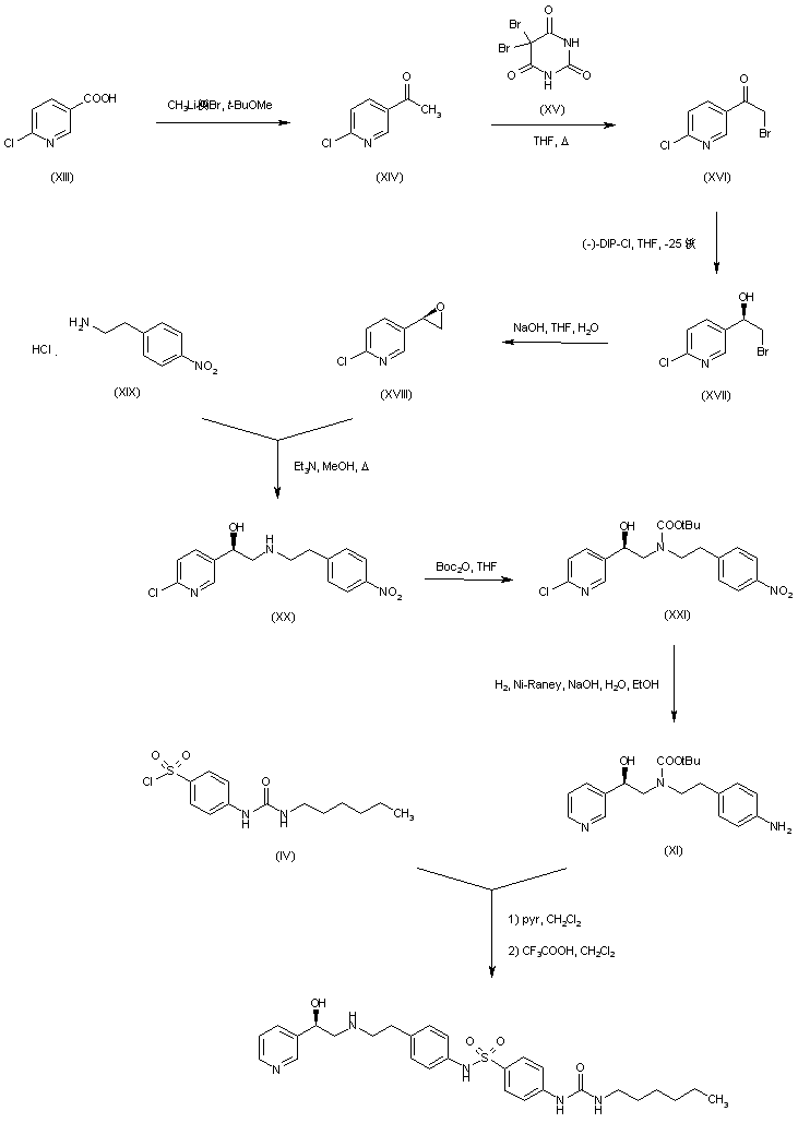
Alternatively, reaction of 6-chloronicotinic acid (XIII) with methyllithium-lithium bromide complex gave methyl ketone (XIV). This was brominated by means of dibromobarbituric acid (XV) to produce bromoketone (XVI). Asymmetric reduction of (XVI) with (-)-B-chlorodiisopinocampheylborane provided the (R)-bromohydrin (XVII), which was converted to epoxide (XVIII) with NaOH in aqueous THF. Epoxide (XVIII) opening with 4-nitrophenethylamine (XIX) produced amino alcohol (XX), which by further protection with Boc2O gave carbamate (XXI). Concomitant dechlorination and nitro group reduction in (XXI) by hydrogenation using Raney Nickel as catalyst provided amine (XI). This was finally converted to the target compound by means of sulfonylation and deprotection as above.

合成路线图解说明:

The chlorination of 3-acetylpyridine (I) with N-chlorosuccinimide (NCS) in acetic acid gives 3-(2-chloroacetyl)pyridine (II), which is reduced with (-)-B-chlorodiisopinocampheylborane [(-)-DIP-Cl] yielding the chiral chloroethanol (III). The epoxidation of (III) with K2CO3 in refluxing acetone affords the chiral epoxide (IV), which is opened with 4-(2-aminoethyl)aniline (V) in refluxing methanol giving the chiral aminoethanol (VI). The protection of the aliphatic amino group of (VI) with di-tert-butyl dicarbonate yields the carbamate (VII), which is finally condensed with the sulfonyl chloride (VIII) by means of pyridine in dichloromethane and deprotected with TFA in the same solvent.

合成路线图解说明:

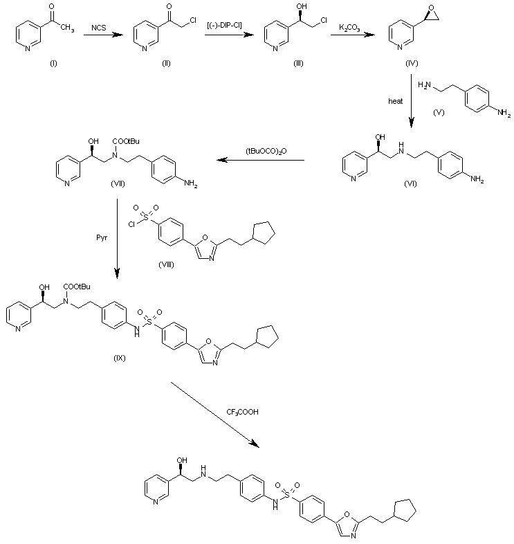
The chlorination of 2-acetylpyridine (I) with N-chlorosuccinimide in ethereal HCl gives 2-(chloroacetyl)pyridine (II), which is reduced with (-)-B-chlorodiisopinocampheylborane [(-)-DIP-Cl] in THF yielding (R)-2-chloro-1-(2-pyridyl)ethanol (III). The epoxidation of (III) with K2CO3 in refluxing acetone affords the epoxide (IV), which is condensed with 4-(2-aminoethyl)aniline (V) in refluxing methanol providing (R)-2-[2-(4-aminophenyl)ethylamino]-1-(2-pyridyl)ethanol (VI). The selective protection of the secondary amino group of (VI) with tert-butoxycarbonyl anhydride in THF gives the carbamate (VII) (1), which is condensed with 4-[2-(2-cyclopentylethyl)oxazol-5-yl]phenylsulfonyl chloride (VIII) in pyridine yielding the sulfonamide (IX). Finally, this compound is deprotected with trifluoroacetic acid.

合成路线图解说明:

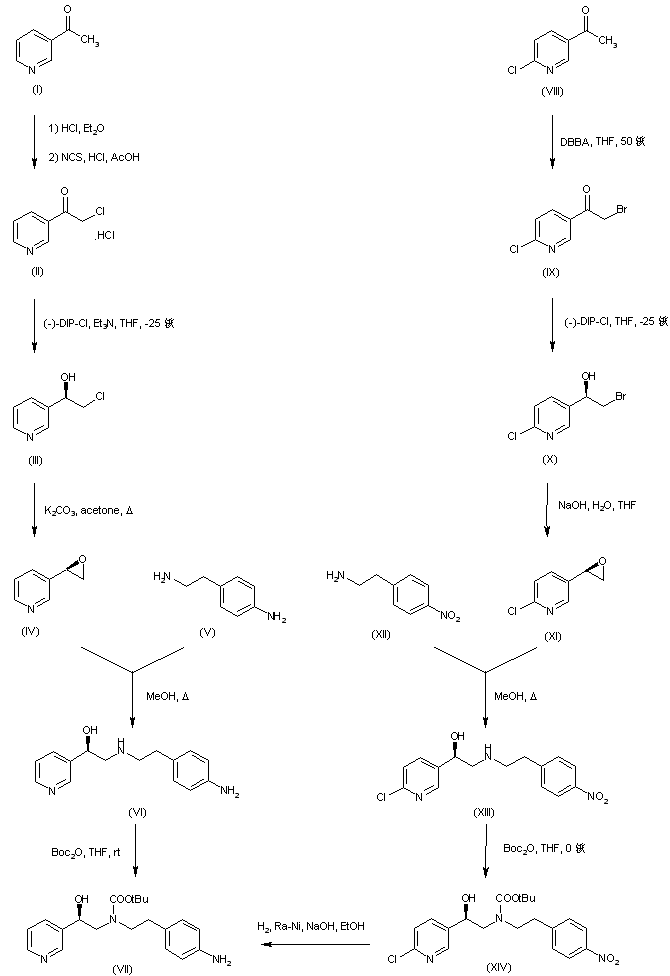
3-Acetylpyridine (I) was converted to the hydrochloride salt and then chlorinated with N-chlorosuccinimide to afford (chloroacetyl)pyridine (II). Asymmetric reduction of (II) by means of (-)-B-chlorodiisopinocampheylborane in THF produced the (R)-alcohol (III), which was cyclized to oxirane (IV) upon heating with K2CO3 in acetone. Epoxide (IV) opening with 4-aminophenethyl amine (V) in boiling MeOH gave aminoalcohol (VI). Then, selective protection of the aliphatic amine of (VI) as the tert-butyl carbamate yielded the target intermediate (VII). In a similar procedure, 2-chloro-5-acetylpyridine (VIII) was brominated employing dibromobarbituric acid in THF to afford bromide (IX), which was enantioselectively reduced to the (R)-alcohol (X). After cyclization of (X) to epoxide (XI), its opening with 4-nitrophenethyl amine (XII) yielded aminoalcohol (XIII). This was protected as the N-Boc derivative (XIV) and then, hydrogenation of the nitro group of (XIV) with concomitant halogen hydrogenolysis in the presence of Raney Nickel provided an alternative access to intermediate (VII).

合成路线图解说明:

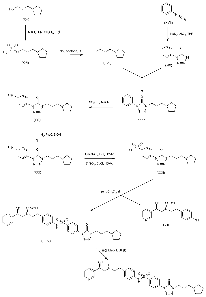
Cyclopentylpropanol (XV) was converted to mesylate (XVI) and subsequently treated with NaI to give iodide (XVII). Then, alkylation of phenyltetrazolone (XIX), (obtained from phenyl isocyanate (XVIII) and aluminum azide), with iodide (XVII) afforded the substituted tetrazolone (XX). Nitration of the phenyl ring of (XX) employing nitronium tetrafluoborate produced the 4-nitro derivative (XXI) along with minor amounts of the 2-nitro isomer, which was separated by flash chromatography. After catalytic hydrogenation of the nitro group of (XXI) to aniline (XXII), diazotization, followed by treatment with an AcOH solution of SO2 in the presence of CuCl furnished sulfonyl chloride (XXIII). Coupling of this sulfonyl chloride with the intermediate amine (VII) in the presence of pyridine gave sulfonamide (XXIV). Finally, the Boc protecting group of (XXIV) was removed by acidic treatment to provide the title compound.

合成路线图解说明:

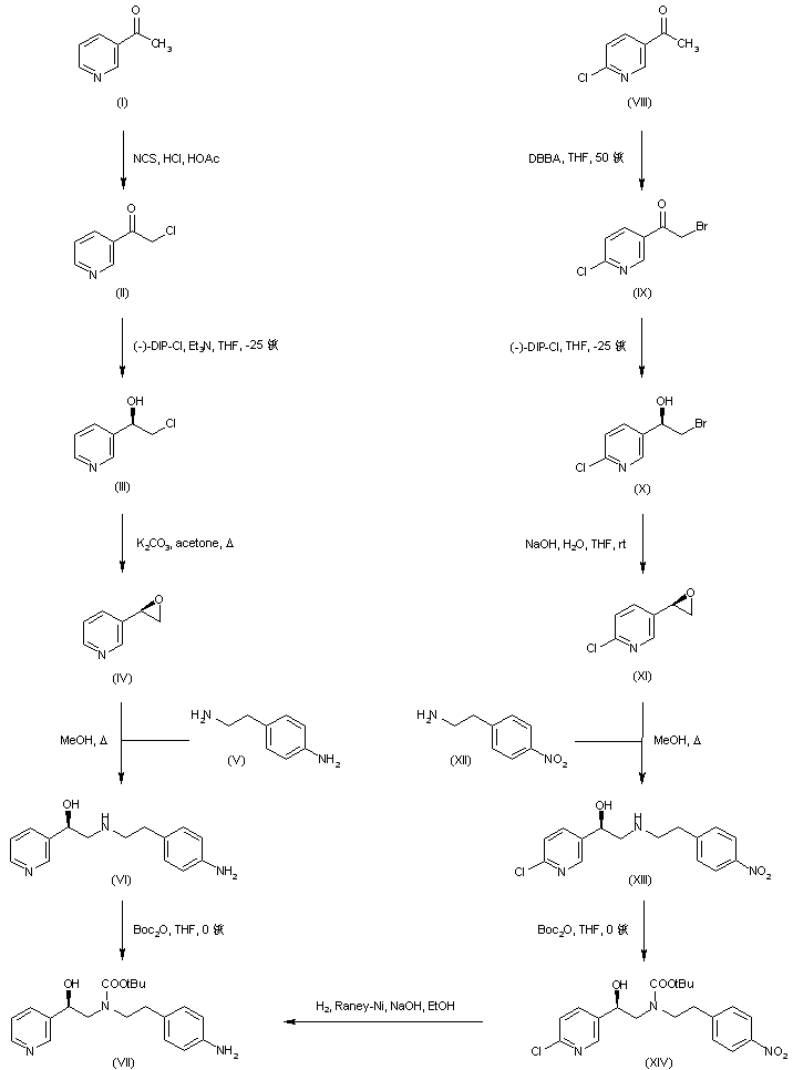
3-Acetylpyridine (I) was chlorinated employing N-chlorosuccinimide, and the resulting chloroketone (II) was enantioselectively reduced with (-)-B-chlorodiisopinocampheylborane (DIP-Cl) to furnish the chiral chlorohydrin (III). Intramolecular cyclization of (III) in the presence of K2CO3 in refluxing acetone produced (R)-(3-pyridyl)oxirane (IV). Further ring opening with 4-aminophenethylamine (V) gave rise to diaminoalcohol (VI), which was selectively proteced with Boc2O at the aliphatic amino group, yielding carbamate (VII). In a related alternative procedure, 2-chloro-5-acetylpyridine (VIII) was brominated to (IX) by means of dibromobarbituric acid (DBBA), followed by reduction of bromoketone (IX) with (-)-DIP-Cl. The resulting (R)-bromohydrin (X) was converted to epoxide (XI) by treatment with NaOH, and subsequent ring opening with 4-nitrophenethylamine (XII) provided aminoalcohol (XIII). Protection of the amino group of (XIII) with Boc2O afforded carbamate (XIV). Further reduction of the nitro group of (XIV) with simultaneous hydrogenolysis of the halogen atom furnished the target intermediate (VII).

合成路线图解说明:

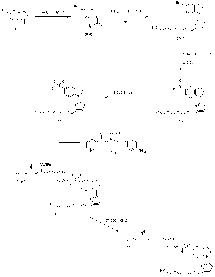
Condensation of 5-bromoindoline (XV) with KSCN produced thiourea (XVI). Subsequent cyclization of (XVI) with 1-chloro-2-decanone (XVII) generated the 4-n-octylthiazole system (XVIII). Lithium-bromine exchange in (XVIII) with butyllithium at -78 C, followed by reaction with SO2 afforded sulfinic acid (XIX), which was then oxidized with N-chlorosuccinimide to the sulfonyl chloride (XX). The condensation of sulfonyl chloride (XX) with carbamate (VII) in the presence of pyridine in CH2Cl2 gave rise to sulfonamide (XXI). Finally, the Boc protecting group of (XXI)) was cleaved by treatment with trifluoroacetic acid.

合成路线图解说明:

Chlorination of 3-acetylpyridine (I) by means of N-chlorosuccinimide (NCS) and HCl/HOAc in ethyl ether affords chloroacetyl derivative (II), which is then reduced with (-)-B-chlorodiisopinocampheylborane ((-)-DIP-Cl) and Et3N in THF to yield ethanol (III). Alcohol (III) is treated with K2CO3 in refluxing acetone to provide (R)-(3-pyridyl)oxirane (IV), which is then condensed with 4-aminophenethylamine (V) to give derivative (VI). N-Protection of (VI) by means of Boc2O in THF furnishes Boc derivative (VII), which is coupled to benzenesulfonyl chloride (VIII) in CH2Cl2 in the presence of pyridine to afford benzene sulfonamide (IX), which is then treated with H2S and Et3N in pyridine to yield thiocarboxamide derivative (X). Derivative (X) is then condensed in refluxing EtOH with chloromethylketone (XII), which can be obtained by reaction of 4-(trifluoromethyl)benzoyl chloride (XI) first with diazomethane (CH2N2) and then with HCl in ether. Finally, the N-Boc group is removed by means of TFA in CH2Cl2 to provide the target compound.

参考文献No.530548
标题:Human beta3 adrenergic receptor agonists containing imidazolidinone and imidazolone benzenesulfonamides
作者:Naylor, E.M.; Parmee, E.R.; Colandrea, V.J.; Perkins, L.; Brockunier, L.; Candelore, M.R.; Cascieri, M.A.; Colwell, L.F. Jr.; Deng, L.; Feeney, W.P.; Forrest, M.J.; Hom, G.J.; MacIntyre, D.E.; Strader, C.D.; Tota, L.; Wang, P.R.; Wyvratt, M.J.; et al.
来源:Bioorg Med Chem Lett 1999,9(5),755
合成路线图解说明:

The chlorination of 3-acetylpyridine (I) with N-chlorosuccinimide (NCS) in acetic acid gives 3-(2-chloroacetyl)pyridine (II), which is reduced with (-)-B-chlorodiisopinocampheylborane [(-)-DIP-Cl] yielding the chiral chloroethanol (III). The epoxidation of (III) with K2CO3 in refluxing acetone affords the chiral epoxide (IV), which is opened with 4-(2-aminoethyl)aniline (V) in refluxing methanol giving the chiral aminoethanol (VI). The protection of the aliphatic amino group of (VI) with di-tert-butyl dicarbonate yields the carbamate (VII), which is finally condensed with the sulfonyl chloride (VIII) by means of pyridine in dichloromethane and deprotected with TFA in the same solvent.

Drug Information Express,Drug R&D,Chemical Database,Patent Search.
Copyright © 2006-2026 Drug Future. All rights reserved.Contact Us