【药物名称】
化学结构式(Chemical Structure):
参考文献No.35259
标题:Thrombin inhibitors
作者:Brundish, D.E.; Brown, L.N.; Le Grand, D.M.; Menear, K.A.; Smith, G.P.; Allen, M.C.; Butler, P.I.; Cockroft, X.-L.; Matthews, I.T.W.; Walker, C.V.; Wathey, W.B. (Novartis AG)
来源:WO 9746553
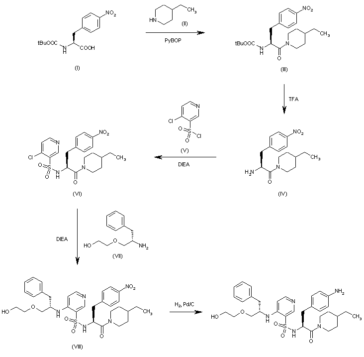
合成路线图解说明:

The condensation of N-(tert-butoxycarbonyl)-4-nitro-L-phenylalanine (I) with 4-ethylpiperiine (II) by means of diisopropylethylamine (DIEA) in dichloromethane gives the corresponding protected piperidide (III), which is treated with TFA to eliminate the carbamate group yielding (IV). The sulfonation of (IV) with 4-chloropyridine-3-sulfonyl chloride (V) by means of DIEA in dichloromethane affords the sulfonamide (VI), which is condensed with 2-(2(S)-amino-3-phenylpropoxy)ethanol (VII) by means of DIEA in ethanol giving the intermediate (VIII). Finally, the reduction of the nitro group of (VIII) with H2 over Pd/C in methanol affords the target compound.

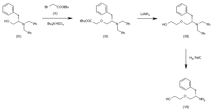
合成路线图解说明:

The intermediate 2-(2(S)-amino-3-phenylpropoxy)ethanol (VII) has been obtained as follows: The condensation of 2(S)-(dibenzylamino)-3-phenyl-1-propanol (IX) with tert-butyl 2-bromoacetate (X) by means of tetrabutylammonium hydrogen sulfate and NaOH in dichloromethane/water gives 2-[2(S)-(dibenzylamino)-3-phenylpropoxy]acetic acid tert-butyl ester (XI), which is reduced with LiAlH4 in THF yielding 2-[2(S)-(dibenzylamino)-3-phenylpropoxy]ethanol (XII). Finally, this compound is debenzylated by hydrogenation with H2 over Pd/C in methanol/acetic acid affording the target intermediate (VII).

Drug Information Express,Drug R&D,Chemical Database,Patent Search.
Copyright © 2006-2026 Drug Future. All rights reserved.Contact Us