【药物名称】
化学结构式(Chemical Structure):
参考文献No.530547
标题:Structure-activity relationship of a series of diaminoalkyl substituted benzimidazole as neuropeptide Y Y1 receptor antagonists
作者:Zarrinmayeh, H.; Zimmerman, D.M.; Cantrell, B.E.; Schober, D.A.; Bruns, R.F.; Gackenheimer, S.L.; Ornstein, P.L.; Hipskind, P.A.; Britton, T.C.; Gehlert, D.R.
来源:Bioorg Med Chem Lett 1999,9(5),647
合成路线图解说明:

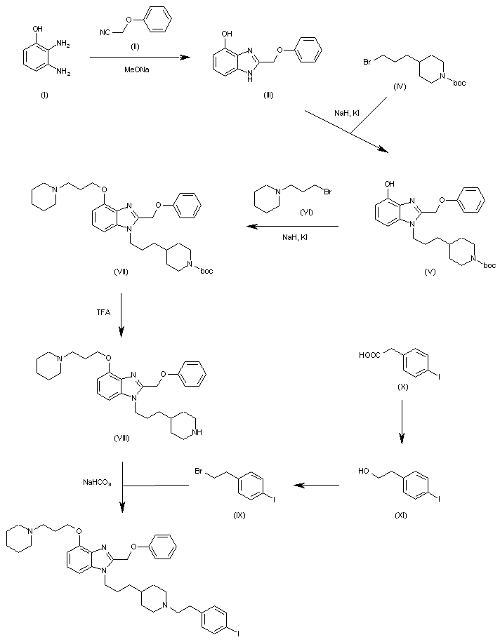
The cyclization of 3-hydroxy-1,2-phenylenediamine (I) with 2-phenoxyacetonitrile (II) by means of sodium methoxide in methanol gives the benzimidazole (III), which is acylated with 4-(3-bromopropyl)piperidine-1-carboxylic acid tert-butyl ester (IV) by means of NaH and KI in hot DMF yielding the N-alkylated benzimidazole (V). The alkylation of the hydroxy group of (V) with 1-(3-bromopropyl)piperidine (VI) by means of NaH and KI as before affords the dialkylated benzimidazole (VII), which is deprotected with TFA in dichloromethane affording the free piperidine (VIII). Finally, the piperidine group of (VIII) is alkylated with 2-(4-iodophenyl)ethyl bromide (IX) by means of NaHCO3 in hot DMF.

参考文献No.536231
标题:Synthesis and evaluation of a series of novel 2-[(4-chlorophenoxy)methyl]benzimidazoles as selective neuropeptide Y Y1 receptor antagonists
作者:Zarrinmayeh, H.; Nunes, A.M.; Ornstein, P.L.; Zimmerman, D.M.; Arnold, M.B.; Schober, D.A.; Gackenheimer, S.L.; Bruns, R.F.; Hipskind, P.A.; Britton, T.C.; Cantrell, B.E.; Gehlert, D.R.
来源:J Med Chem 1998,41(15),2709
合成路线图解说明:

The cyclization of 3-hydroxy-1,2-phenylenediamine (I) with 2-phenoxyacetonitrile (II) by means of sodium methoxide in methanol gives the benzimidazole (III), which is acylated with 4-(3-bromopropyl)piperidine-1-carboxylic acid tert-butyl ester (IV) by means of NaH and KI in hot DMF yielding the N-alkylated benzimidazole (V). The alkylation of the hydroxy group of (V) with 1-(3-bromopropyl)piperidine (VI) by means of NaH and KI as before affords the dialkylated benzimidazole (VII), which is deprotected with TFA in dichloromethane affording the free piperidine (VIII). Finally, the piperidine group of (VIII) is alkylated with 2-(4-iodophenyl)ethyl bromide (IX) by means of NaHCO3 in hot DMF.

Drug Information Express,Drug R&D,Chemical Database,Patent Search.
Copyright © 2006-2026 Drug Future. All rights reserved.Contact Us