【药物名称】SN-429
化学结构式(Chemical Structure):
参考文献No.37030
标题:Nitrogen containing heteroaromatics as factor Xa inhibitors
作者:Orwat, M.J.; Cacciola, J.; Han, Q.; Fevig, J.M.; Pinto, D.J.P.; Rossi, K.A.; Pruitt, J.R.; Quan, M.L. (DuPont Pharmaceuticals Co.)
来源:EP 0946508; WO 9828269
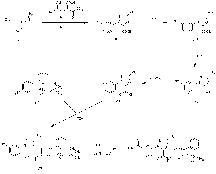
合成路线图解说明:

The cyclization of 3-bromophenylhydrazine (I) with 2-(trichloroacetyl)-3-methoxycrotonic acid (II) in refluxing ethanol gives, after chromatographic separation, 1-(3-bromophenyl)-3-methylpyrazole-5-carboxylic acid ethyl ester (III), which by reaction with CuCN in refluxing N-methylpyrrolidone is converted into the 3-cyanophenyl analogue (IV). The hydrolysis of (IV) with LiOH in THF/water affords the corresponding carboxylic acid (V), which by reaction with oxalyl chloride in dichloromethane gives the acyl chloride (VI). The condensation of (VI) with 4'-amino-N-tert-butylbiphenyl-2-sulfonamide (VII) by means of TEA in dichloromethane provides the corresponding amide (VIII), which is finally treated first with HCl in methanol, and then with ammonium carbonate in the same solvent.

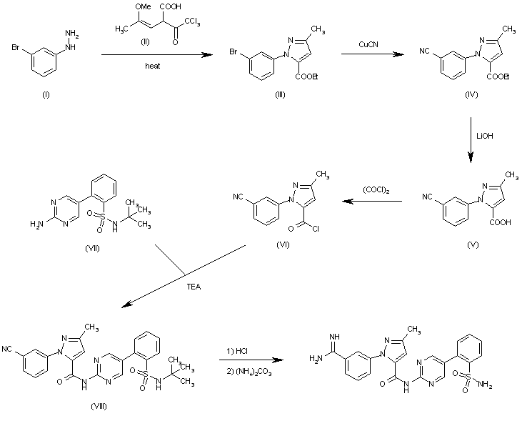
合成路线图解说明:

The cyclization of 3-bromophenylhydrazine (I) with 2-(trichloroacetyl)-3-methoxycrotonic acid (II) in refluxing ethanol gives, after chromatographic separation, 1-(3-bromophenyl)-3-methylpyrazole-5-carboxylic acid ethyl ester (III), which by reaction with CuCN in refluxing N-methylpyrrolidone is converted into the 3-cyanophenyl analogue (IV). The hydrolysis of (IV) with LiOH in THF/water affords the corresponding carboxylic acid (V), which by reaction with oxalyl chloride in dichloromethane gives the acyl chloride (VI). The condensation of (VI) with 2-(2-aminopyrimidin-4-yl)-N-tert-butylbenzenesulfonamide (VII) by means of TEA in dichloromethane provides the corresponding amide (VIII), which is finally treated first with HCl in methanol, and then with ammonium carbonate in the same solvent.

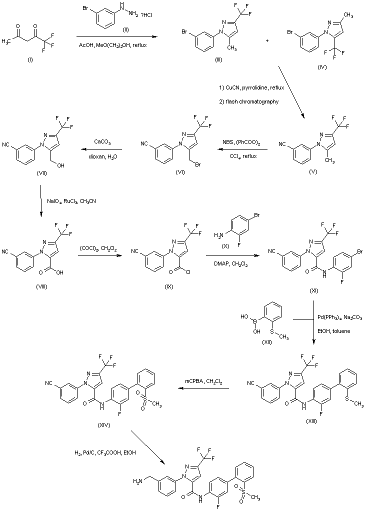
合成路线图解说明:

Condensation of 1,1,1-trifluoro-2,4-pentanedione (I) with 3-bromophenylhydrazine (II) produced an 88:12 mixture of regioisomeric pyrazoles (III) and (IV). Treatment of this mixture with copper cyanide in boiling NMP afforded the corresponding mixture of nitriles, from which the desired major isomer (V) was isolated by flash chromatography. Radical bromination of (V), followed by hydrolysis of the resulting bromomethylpyrazole (VI) with CaCO3 in aqueous dioxan, yielded alcohol (VII). Oxidation of (VII) to carboxylic acid (VIII) was then effected by treatment with sodium periodate in the presence of ruthenium trichloride. After conversion of (VIII) to the corresponding acid chloride (IX) with oxalyl chloride, coupling with 4-bromo-2-fluoroaniline (X) furnished amide (XI). Subsequent Suzuki coupling of (XI) with 2-(methylsulfanyl)phenylboronic acid (XII) gave rise to biphenyl derivative (XIII). The sulfide group of (XIII) was then oxidized to sulfone (XIV) using meta-chloroperbenzoic acid. Finally, catalytic hydrogenation of the cyano group of (XIV) over Pd/C yielded the title primary amine.

Drug Information Express,Drug R&D,Chemical Database,Patent Search.
Copyright © 2006-2026 Drug Future. All rights reserved.Contact Us