【药物名称】L-376062
化学结构式(Chemical Structure):
参考文献No.37499
标题:Thrombin inhibitors
作者:Naylor-Olsen, A.M.; Newton, C.L.; Isaacs, R.C.A.; Dorsey, B.D. (Merck & Co., Inc.)
来源:EP 0969840; US 5932606; WO 9842342
合成路线图解说明:

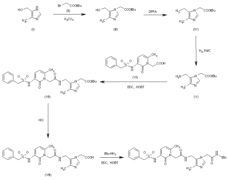
The condensation of 5-(hydroxymethyl)-4-methyl-1H-imidazole (I) with tert-butyl bromoacetate (II) by means of K2CO3 in DMF gives the imidazolylacetic ester (III), which is treated with diphenylphosphoryl azide and DBU in DMF yielding the azidomethyl compound (IV). The reduction of (IV) with H2 over Pd/C in ethyl acetate affords the aminomethyl compound (V), which is acylated with 2-[3-(benzylsulfonamido)-6-methyl-2-oxo-1,2-dihydropyridin-1-yl]acetic acid (VI) by means of EDC and HOBT in DMF providing the carboxamide (VII). Elimination of the tert-butyl group of (VII) with HCl in ethyl acetate gives the free carboxylic acid (VIII), which is finally amidated with tert-butylamine by means of EDC and HOBT in DMF.

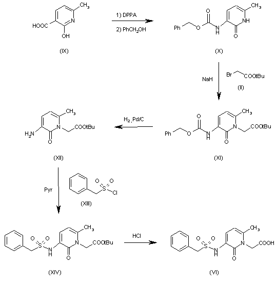
合成路线图解说明:

The intermediate 2-[3-(benzylsulfonamido)-6-methyl-2-oxo-1,2-dihydropyridin-1-yl]acetic acid (VI) has been obtained as follows: The reaction of 2-hydroxy-6-methylpyridine-3-carboxylic acid (IX) with diphenylphosphoryl azide (DPPA), triethylamine and benzyl alcohol in refluxing dioxane gives 3-(benzyloxycarbonylamino)-6-methylpyridin-2(1H)-one (X), which is condensed with tert-butyl bromoacetate (II) by means of NaH in THF yielding the expected condensation product (XI). The deprotection od the amino group of (XI) with H2 over Pd/C in ethanol/water gives the aminopyridone (XII), which is acylated with benzylsulfonylchloride (XIII) in pyridine yielding the sulfonamide (XIV). Finally, the tert-butyl ester group of (XIV) is hydrolyzed with HCl in ethyl acetate to afford the target intermediate (VI).

Drug Information Express,Drug R&D,Chemical Database,Patent Search.
Copyright © 2006-2026 Drug Future. All rights reserved.Contact Us