【药物名称】
化学结构式(Chemical Structure):
参考文献No.38490
标题:Aniline derivs. as calcium channel blockers
作者:Rafferty, M.F.; Ryder, T.R.; Hu, L.-Y. (Pfizer Inc.)
来源:WO 9907689
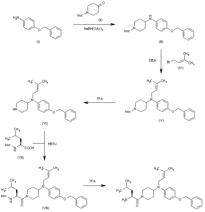
合成路线图解说明:

The reductocondensation of 4-benzyloxyaniline (I) with 1-(tert-butoxycarbonyl)piperidin-4-one (II) by means of NaBH(OAc)2 in dichloromethane gives N-(4-benzyloxyphenyl)-N-[1-(tert-butoxycarbonyl)piperidin-4-yl]amine (III), which is alkylated with 3-methyl-2-butenyl bromide (IV) by means of DIEA in THF yielding the tertiary amine (V). The deprotection of (V) with TFA in dichloromethane affords the piperidine (VI), which is condensed with N-(tert-butoxycarbonyl)-L-leucine (VII) by means of HBTU and DIEA in DMF to provide the intermediate (VIII). Finally, (VIII) is deprotected with TFA in dichloromethane.

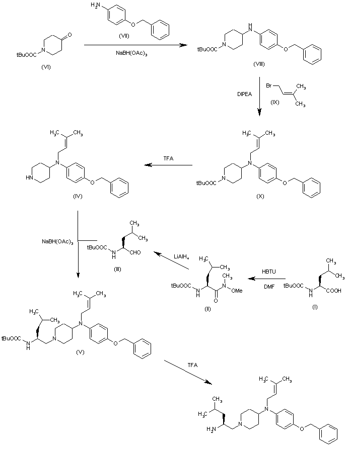
合成路线图解说明:

The reaction of N-(tert-butoxycarbonyl)-L-leucine (I) with N,O-dimethylhydroxylamine and HBTU in DMF gives the corresponding methoxyamide (II), which is reduced with LiAlH4 in ethyl ether yielding the aldehyde (III). The reductocondensation of (III) with the piperidine (IV) by means of sodium triacetoxyborohydride in dichloromethane affords the protected adduct (V), which is finally deprotected with TFA in dichloromethane. The intermediate piperidine (IV) has been obtained as follows: The reductocondensation of the piperidinone (VI) with 4-(benzyloxy)aniline (VII) by means of sodium triacetoxyborohydride in dichloromethane gives the secondary amine (VIII), which is alkylated with 3-methyl-2-butenyl bromide (IX) and DIPEA in THF yielding the protected piperidine (IX). Finally, this compound is deprotected with TFA in dichloromethane to afford the target intermediate (IV).

参考文献No.572979
标题:Neuronal N-type calcium channel blocker: Structure-activity relationship of a series of (S)-2-amino-1(4-[(4-benzyloxy-phenyl)-(3-methyl-but-2-enyl)-amino]-piperidin-1-yl)-4-methyl-pentan-1-one analogs
作者:Siebers, K.M.; Hu, L.-Y.; Rafferty, M.F.; et al.
来源:219th ACS Natl Meet (March 26 2000, San Francisco) 2000,Abst MEDI 259
合成路线图解说明:

The reaction of N-(tert-butoxycarbonyl)-L-leucine (I) with N,O-dimethylhydroxylamine and HBTU in DMF gives the corresponding methoxyamide (II), which is reduced with LiAlH4 in ethyl ether yielding the aldehyde (III). The reductocondensation of (III) with the piperidine (IV) by means of sodium triacetoxyborohydride in dichloromethane affords the protected adduct (V), which is finally deprotected with TFA in dichloromethane. The intermediate piperidine (IV) has been obtained as follows: The reductocondensation of the piperidinone (VI) with 4-(benzyloxy)aniline (VII) by means of sodium triacetoxyborohydride in dichloromethane gives the secondary amine (VIII), which is alkylated with 3-methyl-2-butenyl bromide (IX) and DIPEA in THF yielding the protected piperidine (IX). Finally, this compound is deprotected with TFA in dichloromethane to afford the target intermediate (IV).

Drug Information Express,Drug R&D,Chemical Database,Patent Search.
Copyright © 2006-2026 Drug Future. All rights reserved.Contact Us