【药物名称】Levamisole hydrochloride, KW-2299, R-12,564, Ergamisol
化学结构式(Chemical Structure):
参考文献No.701458
标题:
作者:Dick, P.R.; Rombi, M.
来源:FR 2183313
合成路线图解说明:

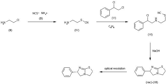
The reaction of beta-chloroethylamine (III) with ammonium thiocyanate (B) gives beta-aminoethylthiocyanate (IV), which is alkylated with alpha,beta-dichloroethylbenzene (V) in hot benzene yielding the secondary amine (VI). The cyclization of (VI) in hot aqueous NaOH affords racemic levamisole, which is finally resolved in its optical isomers through the d-10-camphorsulfonate or N-benzene (or p-toluene)sulfonyl-L-(+)-glutamic salt.

参考文献No.701459
标题:
作者:Bullock, M.W.
来源:DE 1645975
合成路线图解说明:

The reaction of beta-chloroethylamine (III) with ammonium thiocyanate (B) gives beta-aminoethylthiocyanate (IV), which is alkylated with alpha,beta-dichloroethylbenzene (V) in hot benzene yielding the secondary amine (VI). The cyclization of (VI) in hot aqueous NaOH affords racemic levamisole, which is finally resolved in its optical isomers through the d-10-camphorsulfonate or N-benzene (or p-toluene)sulfonyl-L-(+)-glutamic salt.

合成路线图解说明:

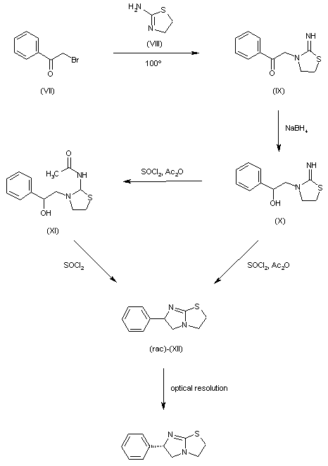
The reaction of phenacyl bromide (VII) with 2-aminothiazoline (VIII) in MeCN at 100 C gives 2-imino-3-phenacylthiazolidine (IX), which is reduced to the corresponding alcohol (X) with NaBH4 in methanol. Finally, this compound is cyclized with SOCl2 and refluxing acetic anhydride giving the racemic levamisole which is resolved resolved in its optical isomers through the d-10-camphorsulfonate, N-benzene (or p-toluene)sulfonyl-L-(+)-glutamic salt. Compound (X) can be acetylated under milder conditions than before giving the N-acetyl compound (XI), which is cyclized SOCl2 and refluxing acetic anhydride.

合成路线图解说明:

The inactive d-(+)-levamisole can be isomerized by reaction with a strong nonaqueous base such as potassium tert-butylate, sodium amide or sodium hydride with or without solvent (DMF, DMSO). The racemic mixture obtained is resolved in its optical isomers through the d-10-camphorsulfonate, N-benzene (or p-toluene)sulfonyl-L-(+)-glutamic salt.

参考文献No.701460
标题:
作者:
来源:US 3579530
合成路线图解说明:

The reaction of beta-chloroethylamine (III) with ammonium thiocyanate (B) gives beta-aminoethylthiocyanate (IV), which is alkylated with alpha,beta-dichloroethylbenzene (V) in hot benzene yielding the secondary amine (VI). The cyclization of (VI) in hot aqueous NaOH affords racemic levamisole, which is finally resolved in its optical isomers through the d-10-camphorsulfonate or N-benzene (or p-toluene)sulfonyl-L-(+)-glutamic salt.

合成路线图解说明:

The reaction of phenacyl bromide (VII) with 2-aminothiazoline (VIII) in MeCN at 100 C gives 2-imino-3-phenacylthiazolidine (IX), which is reduced to the corresponding alcohol (X) with NaBH4 in methanol. Finally, this compound is cyclized with SOCl2 and refluxing acetic anhydride giving the racemic levamisole which is resolved resolved in its optical isomers through the d-10-camphorsulfonate, N-benzene (or p-toluene)sulfonyl-L-(+)-glutamic salt. Compound (X) can be acetylated under milder conditions than before giving the N-acetyl compound (XI), which is cyclized SOCl2 and refluxing acetic anhydride.

合成路线图解说明:

The inactive d-(+)-levamisole can be isomerized by reaction with a strong nonaqueous base such as potassium tert-butylate, sodium amide or sodium hydride with or without solvent (DMF, DMSO). The racemic mixture obtained is resolved in its optical isomers through the d-10-camphorsulfonate, N-benzene (or p-toluene)sulfonyl-L-(+)-glutamic salt.

参考文献No.701461
标题:
作者:Janssen Pharm. N.V.
来源:US 3274209
合成路线图解说明:

The reaction of phenacyl bromide (VII) with 2-aminothiazoline (VIII) in MeCN at 100 C gives 2-imino-3-phenacylthiazolidine (IX), which is reduced to the corresponding alcohol (X) with NaBH4 in methanol. Finally, this compound is cyclized with SOCl2 and refluxing acetic anhydride giving the racemic levamisole which is resolved resolved in its optical isomers through the d-10-camphorsulfonate, N-benzene (or p-toluene)sulfonyl-L-(+)-glutamic salt. Compound (X) can be acetylated under milder conditions than before giving the N-acetyl compound (XI), which is cyclized SOCl2 and refluxing acetic anhydride.

参考文献No.701462
标题:
作者:Bullock, M.W.; Hand, J.J.
来源:US 3673206
合成路线图解说明:

The inactive d-(+)-levamisole can be isomerized by reaction with a strong nonaqueous base such as potassium tert-butylate, sodium amide or sodium hydride with or without solvent (DMF, DMSO). The racemic mixture obtained is resolved in its optical isomers through the d-10-camphorsulfonate, N-benzene (or p-toluene)sulfonyl-L-(+)-glutamic salt.

参考文献No.800516
标题:Absolute configurations of the optical isomers of the broad spectrum anthelmintic tetramisole
作者:Raeymaekers, A.H.M.; et al.
来源:Tetrahedron Lett 1967,(16),1467-70
合成路线图解说明:

The cyclization of (S)-(+)-phenylethylenediamine (I) with CS2 in alkaline water gives (S)-(+)-4-phenyl-2-mercaptoimidazolidine (II), which is then cyclized again with 1,2-dibromoethane (A) in alkaline isopropanol-water.

参考文献No.800517
标题:Levamisole hydrochloride
作者:Casta馿r, J.; Hopkins, S.J.; Blancafort, P.; Serradell, M.N.
来源:Drugs Fut 1979,4(6),420
合成路线图解说明:

The cyclization of (S)-(+)-phenylethylenediamine (I) with CS2 in alkaline water gives (S)-(+)-4-phenyl-2-mercaptoimidazolidine (II), which is then cyclized again with 1,2-dibromoethane (A) in alkaline isopropanol-water.

合成路线图解说明:

The reaction of beta-chloroethylamine (III) with ammonium thiocyanate (B) gives beta-aminoethylthiocyanate (IV), which is alkylated with alpha,beta-dichloroethylbenzene (V) in hot benzene yielding the secondary amine (VI). The cyclization of (VI) in hot aqueous NaOH affords racemic levamisole, which is finally resolved in its optical isomers through the d-10-camphorsulfonate or N-benzene (or p-toluene)sulfonyl-L-(+)-glutamic salt.

合成路线图解说明:

The reaction of phenacyl bromide (VII) with 2-aminothiazoline (VIII) in MeCN at 100 C gives 2-imino-3-phenacylthiazolidine (IX), which is reduced to the corresponding alcohol (X) with NaBH4 in methanol. Finally, this compound is cyclized with SOCl2 and refluxing acetic anhydride giving the racemic levamisole which is resolved resolved in its optical isomers through the d-10-camphorsulfonate, N-benzene (or p-toluene)sulfonyl-L-(+)-glutamic salt. Compound (X) can be acetylated under milder conditions than before giving the N-acetyl compound (XI), which is cyclized SOCl2 and refluxing acetic anhydride.

合成路线图解说明:

The inactive d-(+)-levamisole can be isomerized by reaction with a strong nonaqueous base such as potassium tert-butylate, sodium amide or sodium hydride with or without solvent (DMF, DMSO). The racemic mixture obtained is resolved in its optical isomers through the d-10-camphorsulfonate, N-benzene (or p-toluene)sulfonyl-L-(+)-glutamic salt.

Drug Information Express,Drug R&D,Chemical Database,Patent Search.
Copyright © 2006-2026 Drug Future. All rights reserved.Contact Us