【药物名称】Ioflupane (123I), [123I]FP-CIT, [123I]beta-CIT-FP, DatScan
化学结构式(Chemical Structure):
参考文献No.570133
标题:N-omega-Fluoroalkyl analogs of (1R)-2beta-carbomethoxy-3beta-(4-iodophenyl)-tropane (beta-CIT): Radiotracers for positron emission tomography and single photon emission computed tomography imaging of dopamine transporters
作者:Neumeyer, J.L.; Wang, S.; Gao, Y.; Milius, R.A.; Kula, N.S.; Campbell, A.; Baldessarini, R.J.; Zea-Ponce, Y.; Baldwin, R.M.; Innis, R.B.
来源:J Med Chem 1994,37(11),1558
合成路线图解说明:

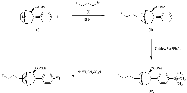
3beta-(4-Iodophenyl)nortropane-2beta-carboxylic acid methyl ester (I) was alkylated with 1-bromo-3-fluoropropane (II) in triethylamine to give the N-fluoropropyl derivative (III). Stannylation of the iodophenyl ring of (III) by Pd(0)-catalyzed reaction with hexamethylditin afforded the corresponding 4-(trimethylstannyl)phenyl tropane (IV). The 123I-labeled compound was then prepared by iododestannylation of (IV) with Na[123I] in the presence of peracetic acid.

Drug Information Express,Drug R&D,Chemical Database,Patent Search.
Copyright © 2006-2026 Drug Future. All rights reserved.Contact Us