【药物名称】
化学结构式(Chemical Structure):
参考文献No.526122
标题:Synthesis and antitumor activities of 4beta-S-(5''-alkyl-4''-amino-1'',2'',4''-triazole-3''-yl)-4-deoxy-4'-O-demethyl-epipodophyllotoxin derivatives
作者:Chen, Y.Z.; Lu, K.K.
来源:Acta Pharm Sin 1999,34(1),63
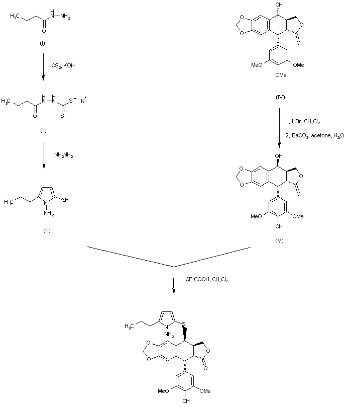
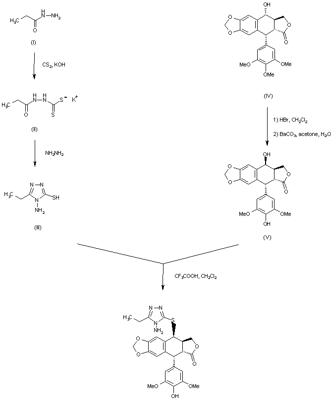
合成路线图解说明:

Reaction of propionic acid hydrazide (I) with CS-2 and KOH gave dithiocarbamate (II), which was cyclized to aminotriazole (III) upon treatment with hydrazine. Demethylation of podophyllotoxin (IV) with HBr, followed by treatment with BaCO3 afforded 4'-demethyl epipodophyllotoxin (V). Finally, condensation of (V) with triazole (III) in the presence of trifluoroacetic acid furnished the title compound.

合成路线图解说明:

Reaction of butyric acid hydrazide (I) with CS-2 and KOH gave dithiocarbamate (II), which was cyclized to aminotriazole (III) upon treatment with hydrazine. Demethylation of podophyllotoxin (IV) with HBr, followed by treatment with BaCO3 afforded 4'-demethyl epipodophyllotoxin (V). Finally, condensation of (V) with triazole (III) in the presence of trifluoroacetic acid furnished the title compound.

Drug Information Express,Drug R&D,Chemical Database,Patent Search.
Copyright © 2006-2025 Drug Future. All rights reserved.Contact Us