【药物名称】
化学结构式(Chemical Structure):
参考文献No.526125
标题:Synthesis and platelet aggregation inhibitory activity of 6-(4'-substituted acylaminophenyl)-4,5-dihydro-3-(2H)-pyridazinones
作者:Liu, C.M.; et al.
来源:Acta Pharm Sin 1999,34(1),23
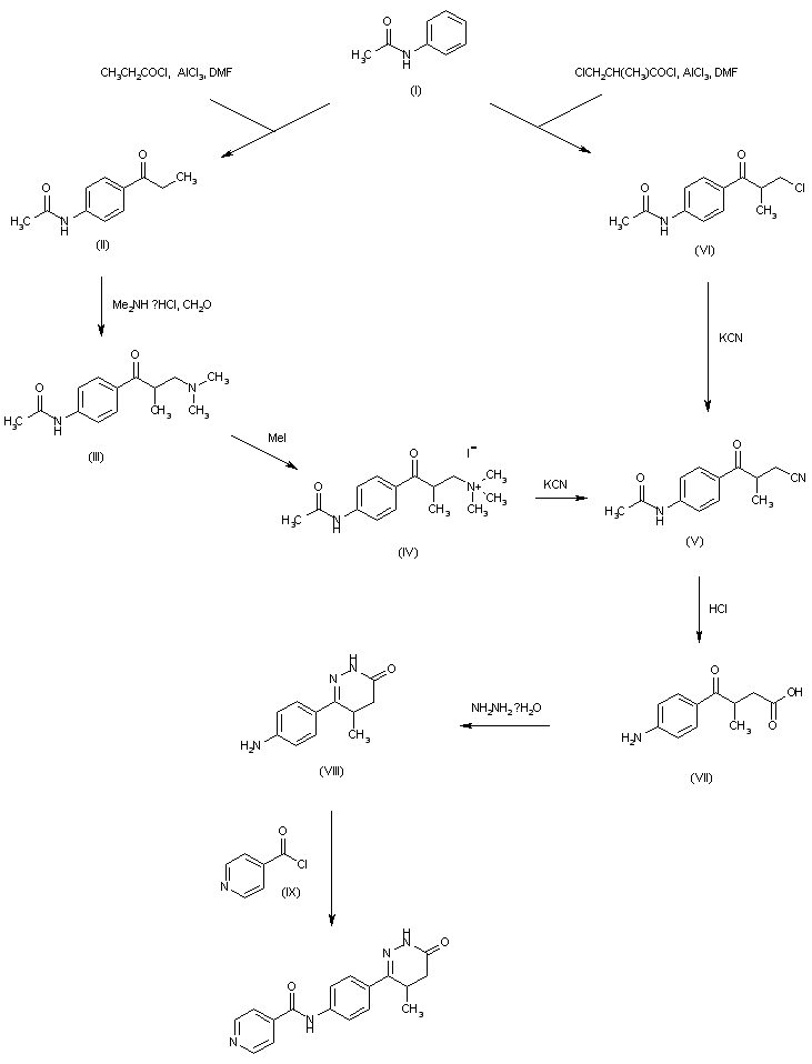
合成路线图解说明:

Friedel-Crafts acylation of acetanilide (I) with propionyl chloride in the presence of AlCl3 afforded 4'-(acetamido)propiophenone (II). Subsequent Mannich reaction of (II) with dimethylamine hydrochloride and formaldehyde produced the aminoketone (III). Quaternization of the tertiary amine of (III) with MeI, followed by displacement of the resulting ammonium salt (IV) with KCN yielded the intermediate ketonitrile (V). In alternative procedure, nitrile (V) was prepared by acylation of acetanilide (I) with 3-chloro-2-methylpropionyl chloride, and further displacement of the resulting beta-chloroketone (VI) with KCN. Acid hydrolysis of both nitrile and acetamido groups of (V) provided ketoacid (VII), which was cyclized with hydrazine to give pyridazinone (VIII). Finally, acylation of the amino group of (VIII) by means of pyridine-2-carbonyl chloride furnished the title amide.

合成路线图解说明:

Friedel-Crafts acylation of acetanilide (I) with propionyl chloride in the presence of AlCl3 afforded 4'-(acetamido)propiophenone (II). Subsequent Mannich reaction of (II) with dimethylamine hydrochloride and formaldehyde produced the aminoketone (III). Quaternization of the tertiary amine of (III) with MeI, followed by displacement of the resulting ammonium salt (IV) with KCN yielded the intermediate ketonitrile (V). In alternative procedure, nitrile (V) was prepared by acylation of acetanilide (I) with 3-chloro-2-methylpropionyl chloride, and further displacement of the resulting alpha-chloroketone (VI) with KCN. Acid hydrolysis of both nitrile and acetamido groups of (V) provided ketoacid (VII), which was cyclized with hydrazine to give pyridazinone (VIII). Finally, acylation of the amino group of (VIII) by means of pyridine-4-carbonyl chloride furnished the title amide.

Drug Information Express,Drug R&D,Chemical Database,Patent Search.
Copyright © 2006-2026 Drug Future. All rights reserved.Contact Us