【药物名称】NK-5807
化学结构式(Chemical Structure):
参考文献No.38589
标题:Novel naphthyridine derivs. or salts thereof
作者:Honda, M.; Sato, Y.; Oka, H.; Iida, M. (Nippon Kayaku Co., Ltd.)
来源:EP 0997462; JP 2000038386; US 6294547; WO 9900388
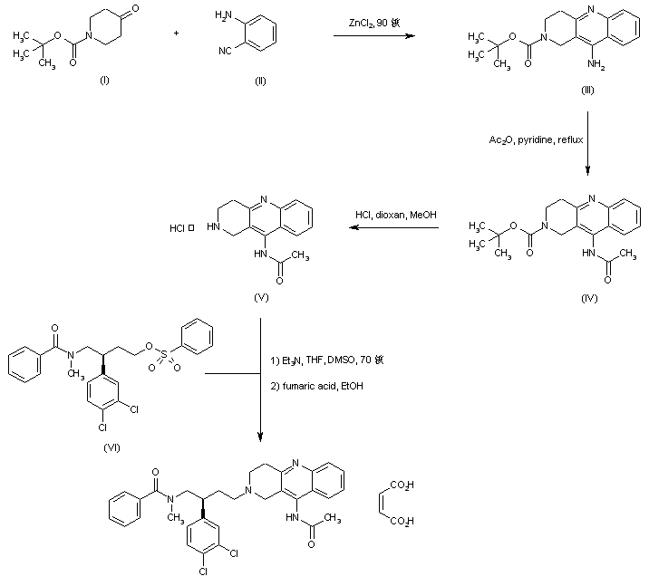
合成路线图解说明:

The benzonaphthyridine system (III) was prepared by condensation of 1-Boc-4-piperidone (I) with 2-aminobenzonitrile (II) in the presence of ZnCl2. After acetylation of the 10-amino group of (III) with Ac2O in pyridine to afford (IV), the N-Boc protecting group was removed by treatment with HCl in dioxan-methanol, yielding 10-acetylamino-1,2,3,4-tetrahydrobenzo[b][1,6]-naphthyridine (V). The tricyclic amine (V) was then alkylated with the chiral sulfonate (VI), and the target compound was finally converted to the corresponding fumarate salt.

Drug Information Express,Drug R&D,Chemical Database,Patent Search.
Copyright © 2006-2026 Drug Future. All rights reserved.Contact Us