【药物名称】VUF-K-8788
化学结构式(Chemical Structure):
参考文献No.38266
标题:Diamine derivs. and pharmaceutical containing the same
作者:Tohma, T.; Onogi, K.; Zang, M.; Timmerman, H.; Wada, Y.; Tamura, M. (Kowa Co., Ltd.)
来源:EP 0957100; WO 9902520
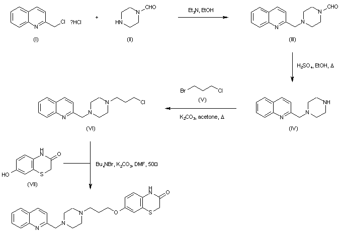
合成路线图解说明:

The alkylation of N-formylpiperazine (II) with 2-(chloromethyl)quinoline (I) produced the disubstituted piperazine (III). The formyl group of (III) was then cleaved by means of H2SO4 in boiling EtOH, yielding quinolylmethylpiperazine (IV). Subsequent alkylation of (IV) with 1-bromo-3-chloropropane (V) afforded the chloropropyl derivative (VI). This was finally condensed with 7-hydroxybenzothiazinone (VII) in the presence of K2CO3 and a phase-transfer catalyst to furnish the title compound.

Drug Information Express,Drug R&D,Chemical Database,Patent Search.
Copyright © 2006-2026 Drug Future. All rights reserved.Contact Us