【药物名称】VX-745
化学结构式(Chemical Structure):
参考文献No.36992
标题:Substd. nitrogen containing heterocycles as inhibitors of p38 protein kinase
作者:Salituro, F.G.; Duffy, J.P.; Murcko, M.A.; Bemis, G.W.; Su, M.; Wilson, K.P.; Cochran, J.E.; Harrington, E.M.; Galullo, V.P. (Vertex Pharmaceuticals Inc.)
来源:EP 0951467; JP 2001506266; WO 9827098
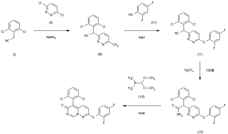
合成路线图解说明:

The condensation of 2-(2,6-dichlorophenyl)acetonitrile (I) with 3,6-dichloropyridazin-3-yl)acetonitrile (III), wich is condensed with 2,4-difluorothiophenol (IV) by means of NaH in THF to yield the thioether (V). The partial hydrolysis of the cyano group of (V) with conc. H2SO4 at 100 CC affords the acetamide (VI), wich is finally cyclized with N,N-dimethylformamidedimethylacetal (VII) in refluxing toluene te provide the target pyrimido-pyridazine derivative.

Drug Information Express,Drug R&D,Chemical Database,Patent Search.
Copyright © 2006-2026 Drug Future. All rights reserved.Contact Us